Structural and Seismic Risk Classification of Bridges According to the Italian Guidelines: A Critical Perspective from the Jointed Experience of Fabre and ANAS
DOI:
https://doi.org/10.70465/ber.v3i1.72Keywords:
Large bridge portfolios, existing bridges, Italian guidelines, Risk Classification, Structural Risk, Seismic RiskAbstract
Bridge risk assessment is recognized as a fundamental part of the process for guaranteeing the structural and seismic reliability of transport networks. To achieve this goal, a variety of strategies are being used around the world, and in 2020, specific guidelines were issued in Italy that provide a homogeneous, standardized multi-level and multi-hazard approach to risk classification and monitoring to be applied to existing bridges by all road managers. The first step of the approach is the preliminary screening of bridge assets based on essential typological and geometric data and periodic inspections. This allows for the continuous and up-to-date monitoring of infrastructure works, filtering out situations that require special attention and prioritizing investigations and actions at the next level. Although the effort required is lower than that required for more advanced assessment procedures, it remains considerable, as demonstrated by the field experience gained through the collaboration between FABRE and ANAS S.p.A. and reported in this study. Based on the data systematically collected on the field and organized in a specific database, the study presents a statistical characterization of an inventory of 746 existing bridges, including descriptive statistics for the key classification parameters of the Italian Guidelines. Through this large sample, one of the largest among similar studies, the research first presents an in-depth analysis and characterization of the most common bridge typologies in Italy. In the next part of the research, statistical methods were applied to critically analyze the possible calibration of the structural-foundational and seismic risk classification as the actual boundary conditions of some parameters involved in the classification logic of the Italian Guidelines vary. In particular, the parameters: Average Daily Traffic; Average Daily Truck Traffic; presence of Road alternatives; Strategic importance of the bridge have been taken into account, evaluating a series of multiple independent scenarios on which the impact on the structural and seismic risk classification within the stock was analyzed. The results highlighted how boundary conditions could affect the risk classification and confirmed the role of other parameters (e.g., Defectiveness class) into the risk classification. Thanks to the breadth, richness of data and representativeness of the available sample of bridges, the statistical analysis and sensitivity assessment presented can be considered a useful basis for calibrating future improvements in the Italian Guidelines calculation process.
Downloads
Introduction
Bridges and viaducts are critical infrastructures of transportation networks, as they allow overpassing natural obstacles (e.g., rivers, valleys) or man-made interferences (e.g., roads, railways, urban infrastructures). Accordingly, risk management, reliability assessment, and structural monitoring of existing bridges are of paramount importance not only for the early vulnerability identification and informed maintenance planning but also in view of the broader, long-term goals of safety and resilience of transportation networks. The growing sensibility and commitment to risk assessment is not only aimed at reducing economic losses due to operational disruptions but also at preventing accidents caused by possible structural collapses, which are becoming increasingly frequent as the infrastructure ages.1
To address this challenge, joint efforts by institutions, transport management authorities, and the scientific community are essential. The urgent need for a national regulatory framework to standardize these assessments is related to the presence of a huge number of bridges and viaducts in the Italian transport network, most of which are approaching the end of their service life. The Italian Agency for Railway, Road and Motorway Infrastructure Safety, ASNFISA, which is responsible for directly supervising the safety conditions of Italian road and highway infrastructure, reports2 a number of 27,392 bridges, viaducts, and overpasses along motorways under concession and state roads managed by the Autonomous National Agency of Highways, Anas S.p.A (hereinafter referred to as Anas). This value accounts for roughly 4% of the total length of the entire Italian road network, excluding the remaining roads managed by regions, provinces, metropolitan cities, and municipalities. Given the extent of the issue, in Italy, in 2020, the Ministry of Infrastructure and Transport (MIT) published the new national “Guidelines for risk classification, safety assessment, and monitoring of the structural health of existing bridges” (hereinafter referred to as IG).3 This document establishes a multi-level approach that applies to bridges spanning more than 6.0 m and includes activities such as: inventory of basic features (e.g., location, structural type, geometry, etc.); field surveys and visual inspections; preliminary multi-risk classification aimed at establishing priorities; detailed structural analyses and code-compliant safety assessment and intervention design;4 surveillance and monitoring planning.
Although a comprehensive description of the approach is not reported here for the sake of brevity (the reader is directed to the full document;3), it is worth highlighting a few key points. The multi-level strategy introduced starts from the risk classification of the bridge through the definition of an overall Warning Class, expressed according to a qualitative risk metric (i.e., High, Medium-High, Medium, Medium-Low, and Low), and resulting from the combination of four risk-specific warning classes (i.e., Structural-foundational, Seismic, Landslide, and Hydraulic). In turn, each risk-specific class is derived from a logical flow that considers hazard, vulnerability, and exposure, using the same qualitative metric previously mentioned. This phase of the multilevel approach is called Level 2.
The Italian research consortium on risk assessment and monitoring of bridges, via ducts, and other structures, hereinafter referred to as FABRE,5 has been at the forefront since 2021 in supporting road concessionaires (particularly Anas) in the application of the IG and in improving its applicability, thus supporting the refinement of the entire process.6 As part of the FABRE–Anas agreement, FABRE was appointed to carry out several activities, including extensive and intensive field pilot studies of the inspection and classification process for 1,112 bridges and viaducts located in various Italian regions. The objective of this specific activity, which was a key part of the joint collaboration, is to provide scientific and technical support to road concessionaires in implementing the risk management procedures introduced by the IG. Some considerations and conclusions about the application of IG have already been drawn in previous studies,6–12 including research studies on innovative monitoring techniques recommended by IG.13–20
Among the various aspects characterizing the overall warning class defined by the IG, the present study is specifically focused on the structural-foundational and seismic warning class, which primarily accounts for the seismic behavior and actual structural degradation of the infrastructure and for the traffic loads. Section 2 presents the experience gained by FABRE researchers in applying the IG in collaboration with Anas through the case studies, while Section 3 describes the implementation of the risk classification on the bridge inventory and the structure of the database (DB) that was specifically designed to support the general methodology for data processing and analysis. This analysis considered: (a) the statistical description of the most common types of bridges encountered (Section 4); (b) the statistical analysis of parameters related to structural-foundational and seismic risk classifications (namely, Hazard, Vulnerability, and Exposure) and their interrelations (Sections 5.1 and 5.2, respectively); (c) the investigation of the consequences related to uncertainties and incomplete knowledge of primary and secondary parameters, by assuming a set of possible variations referred to as “scenarios” (Section 6). A major contribution of this study is the comprehensive statistical characterization of the main aspects affecting the behavior and conservation of a large inventory of Italian bridges, which can be assumed to be highly representative of the population of bridges built along the national road network. In fact, Anas is responsible for all state highways and several freeways, and the sample analyzed in this paper was selected to ensure adequate coverage in terms of geographical distribution, structural typologies, and construction materials. This makes the dataset presented highly suitable for the purposes of the paper and ensures that the statistics and results presented here are of great relevance for future research focused on the risk management of recurrent types of Italian bridges. Infrastructures managed by local authorities (i.e., regions, provinces, metropolitan cities, and municipalities) are not included in this analysis. However, it should be noted that these networks, at present, have been only partially surveyed according to the IG framework and few data only are available. For this reason, it is advisable to conduct further studies specialized on a regional or provincial scale, which could be carried out in the future, once the application of the IG framework by local authorities, currently still in progress, will be completed.
The Pilot Experience of Anas and FABRE on a Large Bridge Inventory
Since its establishment, the FABRE Consortium has been involved in collaborative research activities with different national and provincial road managers aimed at implementing and optimizing the risk classification process provided by the IG. One of the most important and wide-ranging partnerships is the one established under a framework agreement with Anas, the largest among Italian road management authorities, overseeing more than 32,000 kilometers of roads composed of freeways, state highways, junctions, local roads, and over 15,000 bridges.
The collaboration with Anas began in 2021 and involved the activities of FABRE working groups composed of experts from 20 Italian universities. One of the objectives of the agreement is the pilot application of the IG multi-level approach on a wide, representative sample of bridges to carry out a critical evaluation and optimization of the process. In addition, a specific data model has been developed to systematically record, organize, and verify general census information and risk parameters according to IG, and to implement automatic procedures of statistical analysis, data correlation, and scenario development.
With regard to the extensive pilot application of the multi-level approach of the IG, 1,112 bridges were sampled by Anas and assigned to FABRE as case studies. The activity started from Level 0 of the multi-level approach, which involved a preliminary investigation conducted in the Anas archives to collect all available blueprints and documents (including intervention and maintenance records). The archival research was fundamental to retrieve useful census information on the bridge portfolio, but unfortunately it often returned limited results, particularly in the case of older structures. Nevertheless, this limitation is not critical at Level 0, since only a few general parameters are required, and part of the missing data can be addressed in the subsequent phase (Level 1). To develop the Level 1 assessment, several teams of experienced engineers and researchers specialized in structural and bridge design, supported by Anas’ road maintenance workers and inspectors, were involved in on-site surveys to collect the data necessary for the risk classification. Complete visual inspections were carried out on all structural elements (e.g., beams, diaphragms, bearings, piers) using by-bridge platforms or similar, where needed. The joint activity with Anas inspectors also provided additional details, including routine maintenance and past interventions. For each element, the structural defects were identified and characterized in terms of extent and intensity, according to the expert engineers’ judgment, and reported on the standardized forms from Annex C of the IG. Next, for each bridge, FABRE experts derived the four warning classes (Structural-foundational, Seismic, Landslide, and Hydraulic risk) according to the logic-flow provided by the IG and drafted a comprehensive technical report containing all the data collected and the final results in terms of partial and overall Warning classes. During this experience, an internal guideline protocol was drafted (which included a step of independent review of each inspection report), allowing minimization of the subjectivity of the evaluations, reduction of potential errors, and homogenization of the procedure across different teams. The evaluation of 1,112 bridges is still ongoing, but to date, 746 bridges have been completed and their reports are available, providing a verified and systematically structured DB and a solid basis for statistical, sensitivity, and correlation analyses.
Methodology and Structure of the DB
For the specific objective of analyzing Structural-foundational Risk and Seismic Risk, the DB has been structured with three consecutive sections containing this information: (a) census attributes, such as identification code and coordinates, to uniquely identify each bridge; (b) typological attributes (e.g., total length, number of spans, maximum span length, static scheme, and superstructure material), to describe the type and dimensions of each bridge in terms of geometric parameters and construction materials; (c) risk-specific attributes.
To minimize the introduction of operator-dependent errors (such as outliers, range violations, or format errors) during the creation of the DB, different data validation strategies have been implemented. In the case of descriptive data, multiple-choice drop-down menus are given with labels that comply with IG (e.g., for static scheme attribute, the implemented choices are: Simply supported beams; Continuous beams; Gerber beams; Massive arch; Thin arch; and Slab). In the case of numerical data, conditional rules and consistency checks are provided (e.g., the average span length cannot exceed the maximum span length). To trace the reliability of data entries, an additional column was introduced (e.g., the year of construction “certified” by blueprints or “presumed” by inspectors), which can also be useful to perform sensitivity analyses and implement, in the future, further specific strategies to refine the quality of data.
The DB of the 746 existing bridges has been used as the input for a set of specifically implemented Python routines that cluster the inventory according to geometric and typological parameters (Section 4), offering a broad characterization of the Italian bridge stock based on the IG experience, enriching the state-of-the-art, and supporting further typological studies. The Python routine toolset then proceeds to the analysis of hazard, vulnerability, and exposure parameters and to the calculation of structural-foundational and seismic warning classes, and finally performs the identification of possible clusters (Section 5.3).
Fig. 1 provides a graphical exemplification of the logical operators used for the computation of hazard/vulnerability/exposure classes, as implemented in the Python routines. The path that leads to their computation according to the indications of IG is translated into a sequence of rules (numbered as “#i rule” in the blue boxes of Fig. 1): a set of parameters defined as “primary” is first used to provide a preliminary value of the hazard/vulnerability/exposure class, which is then progressively modified by subsequent rules that introduce additional parameters, defined as “secondary” (the detailed description of primary and secondary parameters is reported in Section 5). The figure also schematizes, by way of example, one possible classification path that starts from a pre-classification (magenta box), considers each of the secondary parameters in sequence (to which the actual values are assigned), applies the associated rule (#i rules, purple boxes), and provides the updated Hazard/Vulnerability/Exposure class (blue box).
Figure 1. Graphical exemplification of the flow for the computation of risk-specific Hazard/Vulnerability/Exposure classes based on primary and secondary parameters
Fig. 2 shows in more detail the graphical logical flow of Fig. 1, explaining the typical chained matrix structure of the re-classification rules for the risk-specific Hazard/Vulnerability/Exposure classes. In the specific Python module, all the rules and chained matrices that describe the logical flow provided by IG for calculating the structural-foundational and seismic Hazard/Vulnerability/Exposure classes have been implemented, so that, once the input data from the bridge dataset have been read, the computation is straightforwardly performed, and it is possible to easily make changes to the data to analyze the proposed scenarios (as reported in Section 6).
Figure 2. Chained matrix structure of the re-classification flow. The colors of the boxes recall those provided in Fig. 1; the arrows trace an example of a classification path along the chained tables; the dashed arrow denotes that, in general, further secondary parameters and re-classifications might be present
Geometric and Typological Characterization of the Bridge Inventory
In this section, the FABRE DB, composed of 746 bridges geographically spread across the Italian territory (as shown in Fig. 3), is presented and characterized. In particular, Fig. 3 shows the number of bridges in each region as the dimension of the centroid of the regional polygonal boundary, scaled in size according to the relative percentage of bridges out of the total number. Also, regional boundaries are filled with shades of red whose intensity is proportional to the number of bridges (white is assigned where no bridges data are available to date). The Italian regions are divided by zones: North (Valle d’Aosta, Piemonte, Liguria, Lombardia, Trentino-Alto Adige, Veneto, Friuli-Venezia Giulia, Emilia Romagna); Center (Toscana, Abruzzo, Umbria, Marche, Lazio); and South and Islands (Molise, Campania, Puglia, Basilicata, Calabria, Sicilia, Sardegna). To date, the inventory has no data on bridges located in Valle d’Aosta, Piemonte, Trentino-Alto Adige, and Lazio, whereas the top three regions for number of bridges are Calabria, Campania, and Emilia-Romagna (140, 85, and 81, respectively).
Figure 3. Geographical distribution of FABRE bridge inventory. The bar chart shows the geographical distribution along Italian zones North, Center, South, and Islands
Fig. 4 presents a clustering of the bridges’ sample according to a set of significant geometric and typological parameters: (a) Total length; (b) Number of spans; (c) Static scheme; (d) Maximum span length, LMAX; (e) Superstructure material; and (f) Structural redundancy (i.e., isostatic or hyperstatic scheme). The additional graph (g) is a bar chart focused on the distribution of LMAX, as in (d), but with finer discretization. In fact, while the classification of LMAX shown in (d) refers to the specific length classes defined by IG, in (g) a stepwise discretization of 2 m has been adopted to better appreciate the actual span lengths that are encountered in a real bridge stock.
Figure 4. Frequency histograms of geometric and typological parameters of bridges provided by IG: (a) Total length; (b) Number of spans; (c) Static scheme; (d) Maximum span length; (e) Superstructure material; (f) Structural scheme (isostatic vs. hyperstatic); and (g) Discrete distribution of maximum span length every 2 m (interpolated by moving average)
The results of the classification according to parameters (a) and (b) show that most bridges have a total length comprised between 50 and 150 m (34.0%; Fig. 4a) and a number of spans ranging from 2 to 5 (44.4%; Fig. 4b). Regarding the static scheme (Fig. 4c), it is interesting to observe that the typologies “Simply supported beams” and “Continuous beams” cover 81.9% of the whole bridge inventory, with a large predominance of the former.
Looking at the distribution of structural redundancy (Fig. 4f), 80.2% of the bridges are characterized by an isostatic scheme. Regarding the distribution of the superstructure material (e), the vast majority of bridges are built employing prestressed reinforced concrete (PC): 70.4%, followed by reinforced concrete (RC): 15.5%. It is worth noting that the share of bridges characterized by a “mixed” superstructure (i.e., Steel-RC), which is a construction typology particularly used in modern bridges, is a very small percentage: 7.6%.
The distribution of the LMAX in Fig. 4d highlights a clear predominance of one length range above the others, that is “>25 m,” with 71.8% of the bridges. It is particularly interesting to compare this data with the result presented in Fig. 4g, which shows a more refined distribution of this parameter. In particular, it becomes apparent that the general category LMAX > 25 m of Fig. 4d is mostly populated by bridges with maximum span included in the range 30–36 m. The discussion about the correlation between the geometrical parameter LMAX and the static scheme will be presented in Section 5.1.2. The above-discussed statistical distributions are aggregate data and do not provide any information about the most represented typologies of bridges. To this aim, typological clustering based on some structural and geometric features has been further carried out. Bridges have been grouped by: (a) Number of spans, classified as single- or multi-span (b) LMAX; (c) Superstructure material; (d) Construction period; (e) Static scheme. These parameters have been selected since they are the most relevant in the calculation of the vulnerability class according to IG. Table 1 reports the 10 most populated bridge typologies in the sample, according to the abovementioned clustering. Regarding this classification, it is worth observing that the 3 most represented bridge typologies are: (i) simply supported multi-span PC bridges built between 1945 and 1980, with LMAX varying between 25 and 50 m (26.1%); (ii) simply supported multi-span PC bridges built after 1980, with LMAX between 25 and 50 m (20.1%); (iii) simply supported single-span PC bridges built between 1945 and 1980, with LMAX between 25 and 50 m (4.0%).
| Single or multi-span | Static scheme | Superstructure material | Construction period | LMAX [m] | Num. [−] | Percentage [%] |
|---|---|---|---|---|---|---|
| Multi | Simply Supp. | PC | 1945-1980 | 25–50 | 195 | 26.1 |
| Multi | Simply Supp. | PC | Post-1980 | 25–50 | 150 | 20.1 |
| Single | Simply Supp. | PC | 1945-1980 | 25–50 | 30 | 4.0 |
| Multi | Simply Supp. | RC | 1945-1980 | <25 | 25 | 3.4 |
| Single | Arch bridge | Masonry | Pre-1980 | <25 | 24 | 3.2 |
| Multi | Simply Supp. | PC | 1945-1980 | <25 | 21 | 2.8 |
| Multi | Simply Supp. | PC | Post-1980 | <25 | 18 | 2.4 |
| Single | Simply Supp. | PC | Post-1980 | 25–50 | 18 | 2.4 |
| Multi | Gerber beam | RC | 1945-1980 | <25 | 16 | 2.1 |
| Multi | Continuous | Steel-RC | Post-1980 | 25–50 | 16 | 2.1 |
This aggregation, performed according to typological/geometrical/age classes, allows a better interpretation of the parameter distributions shown in Fig. 4: “PC” was identified as the most recurrent superstructure material, and it is in fact commonly used in cases where the span length is longer than 10–15 m. It is finally worth observing that the statistics shown in Figs. 4b, 4b–4e are in accordance with those provided by other authors who studied different Italian bridge samples.21–23
Statistical Analysis of the Risk Parameters of the IG Classification
As discussed in Section 2, the logical flow of IG classification combines hazard, vulnerability, and exposure classes for each of the four risks. These classes, in turn, are derived by combining primary and secondary parameters. In this section, Structural-foundational risk and Seismic risk are presented and discussed (in Section 5.1 and in Section 5.2, respectively). For the two risks, the three basic parameters involved in the risk classification (Hazard, Vulnerability, and Exposure) are analyzed considering the statistical distributions of primary and secondary parameters (the complete list is given in Table 2). The discussion provides a systematic, in-depth analysis of their contribution to the structural-foundational and seismic risk, for which the overall results are presented in Fig. 5, highlighting the most recurring conditions; the variation ranges and statistics about the two warning classes are also presented (Section 5.3).
| Risk | Class | Parameters | |
|---|---|---|---|
| Primary | Secondary | ||
| Structural-foundational | Hazard | Average daily truck traffic | - |
| Traffic limitations | |||
| Vulnerability | Defectiveness levelStatic scheme | Construction period | |
| Span length | Design class | ||
| Material | |||
| Number of spans | |||
| Exposure | Average daily traffic | Road alternatives | |
| Average span length | Exposition of the overpassed obstacle | ||
| Seismic | Hazard | Peak ground acceleration | Soil category |
| Topographic category | |||
| Vulnerability | Defectiveness level | Seismic design criteria | |
| Static scheme | |||
| Span length | |||
| Material | |||
| Exposure | Same as structural-foundational | Strategic importance | |
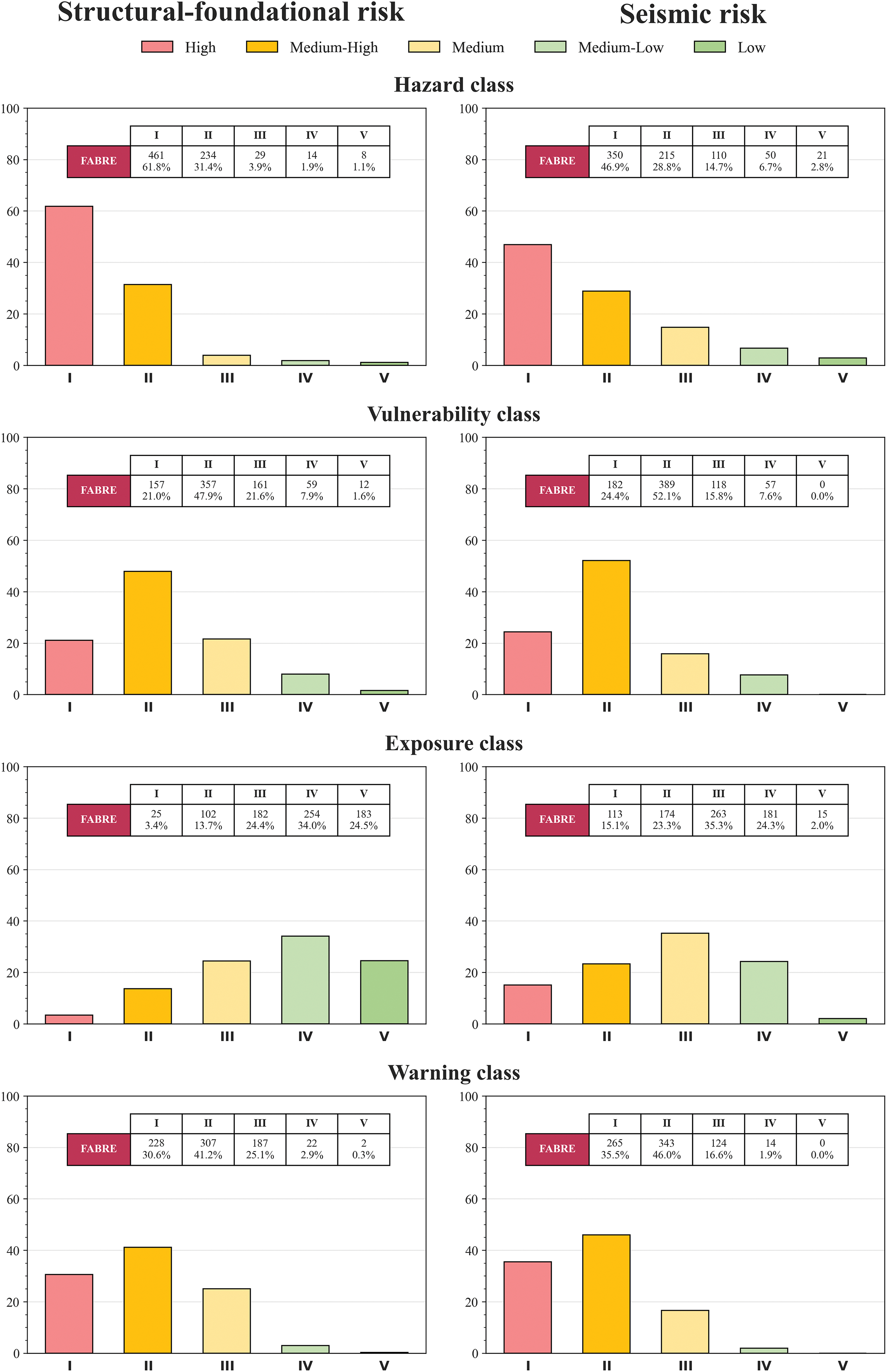
Figure 5. Frequency histograms of the final classifications, discretized in five classes (i.e., High, Medium-High, Medium, Medium-Low, and Low) for the Structural-foundational and Seismic Hazard class, Vulnerability class and Exposure class, and Final Warning classes
Structural-foundational risk
Hazard parameters
The process of risk classification starts from hazard parameters. In the case of structural-foundational risk, Hazard Class only depends on primary parameters, in particular on traffic limitations in terms of gross vehicle mass (Fig. 6a) and on Average Daily Truck Traffic (ADTT) (trucks are vehicles with a gross mass exceeding 3.5 t) (Fig. 6b).
Figure 6. Frequency histograms of the parameters involved in Structural-foundational Hazard Class: (a) Traffic limitations and (b) Average Daily Truck Traffic (ADTT). The absence of traffic limitations would result in higher hazard classes, but, conversely, low ADTT values reduce the hazard classification. Overall, 93.2% of bridges are classified with a High or Medium-High hazard (Fig. 5). This increases the likelihood that the Structural-Foundational Warning Class, at the end of the calculation, will be High or Medium-High, which entails a significant number of accurate assessments and more frequent periodic inspections
Traffic limitations are given according to five classes for the maximum vehicle mass permitted for transit: >44 t (i.e., no limits); [26 t; 44 t]; [8 t; 26 t]; [3.5 t; 8 t]; and <3.5 t. The absence of traffic limitations is the predominant class, with 92.8% of bridges. ADTT values are divided into three classes: Low (ADTT ≤ 300 trucks/day); Medium (from 300 to 700 trucks/day); and High (ADTT ≥ 700 trucks/day). These three classes are populated almost uniformly in the inventory (i.e., almost 33% for each interval). The absence of traffic limitations would result in higher hazard classes, but, conversely, low ADTT values reduce the hazard classification. Overall, 93.2% of bridges are classified with a High or Medium-High hazard (Fig. 5). This increases the likelihood that the Structural-Foundational Warning Class, at the end of the calculation, will be High or Medium-High, which entails a significant number of accurate assessments and more frequent periodic inspections.
Vulnerability parameters
The second contribution to the risk classification is the Vulnerability Class that, unlike Structural-foundational Hazard Class, is evaluated considering both primary and secondary parameters (Table 2). The evaluation mainly depends on structural features which have already been presented in Section 4: static scheme, superstructure material, LMAX, and number of spans. Defectiveness level is included among primary parameters, while construction period and design code are defined as secondary ones. The most important parameter for the vulnerability classification is the Defectiveness Level of the bridge as a whole, which is derived by processing the defect sheets compiled for each structural element during on-site visual inspections (Level 1 of IG, Section 2) and is discretized into the usual five classes.
The defectiveness level of individual elements is determined by accounting for the number, type, extension, and intensity of detected defects and considering, additionally, the presence of “critical conditions” for structural safety. The procedure reported in ANSFISA24 suggests grouping the bridge elements into subgroups and then calculating the defectiveness level of the subgroup by combining the defects of the elements belonging to it, according to specific recommendations not reported here for the sake of brevity. The overall defectiveness level of the bridge is then taken to be the worst defectiveness level found among all subgroups, regardless of whether the most defective element belongs to the superstructure or to the substructure.
Fig. 7a reports the distribution of defectiveness within the bridge sample, showing that more than half is characterized by a defectiveness level higher than Medium (57.1%). It should be observed that the construction periods of the sample (Fig. 7b) are distributed almost equally between the classes “1945–1980” (56.8%) and “>1980” (40.8%), but the highest levels of structural defectiveness are mainly found in bridges built between 1945 and 1980, a fact that could be reasonably expected and actually corresponds to the specific attention provided by transportation management authorities to bridges from that period.
Figure 7. Frequency histograms of the parameters for Structural-foundational Vulnerability Class: (a) Defectiveness level by construction period; (b) Construction period; (c) Design class; (d) Maximum span length by most common static schemes derived by moving average applied to the discrete distribution of this parameter (purple dashed vertical lines are the limit values given by IG for the vulnerability classification according to LMAX); and (e) Nested pie chart: static schemes (outer pie) and corresponding superstructure materials (inner pie)
It is worth observing that this distribution of defectiveness may not fully represent the situation of the whole Italian bridge stock. In fact, considering that the objective of the collaboration was the pilot application of the new IG prior to their systematic use, it is to be expected that transportation management authorities, when choosing the bridge sample, decided to give preference to bridges already known for showing greater signs of deterioration. The span distribution in Fig. 4b shows that the sample is highly populated by multiple-span bridges, which increases the probability of finding higher levels of defectiveness due to the greater number of structural elements. Also, the presence of many simply supported bridges (Fig. 7e), often equipped with structural joints, increases potential vulnerabilities, as joints represent critical pathways for the penetration of aggressive agents such as de-icing salts, rainwater, or chlorides. Concluding the observations about the Defectiveness Level, 33.2% of the bridges exhibit a High or Medium-High defectiveness level and are therefore most likely to fall within a High or Medium-High vulnerability class. It is interesting to observe the distribution of LMAX among the most recurrent static schemes (Fig. 7d), as previously identified in Section 4 (Fig. 4d): simply supported, continuous, and arch bridges. As pointed out in Section 4 (Fig. 4g), the distribution of LMAX is characterized by a concentration of bridges between 30 and 36 m, while the ranges below 25 m are almost equally populated.
With regard to the most recurrent static schemes: (i) arch bridges are mostly concentrated in the range below 15 m; (ii) simply supported bridges correspond to the concentration mentioned above; (iii) continuous bridges are distributed almost uniformly, although there is a gap in the range between 15 and 25 m, where they are not represented in the sample. This analysis suggests that, to achieve a better characterization of vulnerability classes, it would be advisable to describe the primary parameter LMAX according to a finer discretization, more suited to the actual distribution of LMAX among different static schemes.
The results of the Vulnerability class distribution (Fig. 5) show that 68.9% of bridges fall into the Medium-High and High classes, which is more than double the number that fall into the same range for the Defectiveness Level (Fig. 7a). Actually, the final value of Vulnerability class does not just depend only on typological and geometric parameters but also on Construction period and Design class. IG, in particular, considers how quickly deterioration evolves over time, assuming that, while a certain level of defectiveness could be predictable and physiological for an “old” bridge (i.e., with more than 50 years of service life), the same defectiveness is anomalous for a recently constructed bridge and could indicate an abnormally rapid deterioration process, possibly leading to a critical damage level in a short time. The latter case requires greater attention and is in fact associated with a high-risk rating. The Design Class, which is discretized as “A”, “B,” and “C” (Fig. 7c), is a synthetic parameter that summarizes the design assumptions for that bridge, in agreement with the technical standards applicable at the time of construction. The evolution of Italian technical standards has led to significant changes in traffic load requirements and design methodologies, contributing to variations in vulnerability. Generally, older bridges are classified in class “A,” while newer ones are classified in class “B” or “C,” depending on the design standard and their length LMAX.
Exposure parameters
The last of the three fundamental elements of the risk classification process is the Exposure Class, which is evaluated, again, based on primary parameters: Average Daily Traffic (ADT) and Average span length (LAVG), and secondary parameters: Road alternatives and Exposition of the overpassed obstacle. ADT is expressed as vehicles per day and, unlike ADTT, does not distinguish between vehicle types and mass. Similarly to ADTT, the values are divided into three classes: Low (vehicles/day ≤ 10,000); Medium (10,000 < vehicles/day < 25,000); and High (vehicles/day ≥ 25,000). LAVG does not follow the same ranges of LMAX but is divided according to two thresholds: 20 and 50 m.
The distribution of ADT (Fig. 8a) shows that 59.8% of bridges are affected by less than 10,000 vehicles/day. Regarding LAVG, bridges are mainly concentrated in the interval “20–50 m” (75.6%). This value is very similar to that of bridges characterized by LMAX > 25 m in Fig. 4d (71.8%), a trend confirmed by the distributions of span length, LMAX, in Fig. 4g, and of LAVG, in Fig. 8d. The distributions of ADT and LAVG show a larger population in the low and medium-low levels. Considering that in the logical flow calculation, lower values of both parameters correspond to lower exposure classes, an exposure class between Medium and Low would be expected. However, the fact that the parameter Road alternatives assumes the value “No” for 33.4% of bridges (Fig. 8c), together with the presence of 11.1% of cases in which there is a high exposure of the overpassed obstacle (Fig. 8e), shifts the assessment towards higher classes. In conclusion, regarding the Structural-foundational Exposure class (Fig. 5), only 17.1% of bridges fall into exposure classes higher than the Medium one.
Figure 8. Frequency histograms of the parameters involved in Structural-foundational Exposure Class: (a) ADT; (b) LAVG; (c) Road alternatives; (d) LAVG (purple dashed lines are the limit values given by IG for classification); and (e) Exposition of overpassed obstacle
Seismic risk
Hazard parameters
As for the structural-foundational risk classification, the seismic starts with the definition of hazard parameters. In this case, the hazard source is not related to traffic loads, previously identified through the ADTT parameter, but to seismic action. The primary parameters involved in the classification are PGA and Topographic category. The PGA parameter (or ag) is the maximum acceleration expected on rigid, flat ground with a 10% probability of exceedance in 50 years. It is expressed by a dimensionless value related to g (gravity acceleration) and is divided into five classes. To consider the effects of local amplification in the hazard classification, IG includes topographic and soil category as primary and secondary parameters, respectively. Fig. 9a shows that almost half of the bridges (49.1%) are built in an area characterized by medium-high seismicity (0.15 g ≤ PGA < 0.25 g), and 65.5% are characterized by flat ground or average slope lower than 15° (Fig. 9b).
Figure 9. Frequency histograms of: (a) Peak Ground Acceleration, PGA; (b) Topographic category; and (c) Soil category: in yellow, the distribution according to Italian Building Code classes; in red, the distribution according to IG classes
Regarding Soil category, it is worth noting that the classification according to MIT4 is often unavailable at this stage of the multi-level approach and only an approximate evaluation can be given. IG, in fact, adopts a very simplified discretization for this parameter, with only two classes: “A–B” category (merging “A” and “B” soils of the Italian Building Code) and “C–D–E” category (merging “C”, “D,” and “E” soils). Moreover, in uncertain situations, IG suggests following a conservative approach, assigning the worst category reasonably foreseeable for the site. The value of Soil Category for each bridge analyzed was actually provided according to the Italian Building Code definitions; therefore, in Fig. 9c, both distributions are shown. The “N.A.” class includes those cases in which the parameter was left empty, which will be assigned by default to “C–D–E” category in the computation of the seismic hazard class. In the DB, the most populated class is the “C” one, which was found in 48.7% of the cases. The overall combination of the abovementioned parameters results in 75.7% of bridges being classified in High or Medium-High Seismic Hazard Class (Fig. 5).
Vulnerability parameters
Similarly to the Structural-foundational Vulnerability Class, the Seismic Vulnerability Class is assigned based on the structural and geometrical features of the bridge (already discussed in Section 4). The main difference regards the construction material that is considered: while the structural-foundational framework involves the material of the superstructure, in the seismic vulnerability, the reference construction material is that of the piers. There are further differences in the combination of the primary parameters and their classification and in the secondary parameters. For example, LMAX is discretized in different classes, across different intervals (see Figs. 7d and 10c for comparison).
Figure 10. Frequency histograms of parameters involved in Seismic Vulnerability Class: (a) Pier material; (b) Number of spans (Single vs. Multi-span); (c) Maximum span length, LMAX; (d) Seismic design criteria; and (e) Seismic defectiveness level by construction period
The presence of Seismic design criteria (according to the nomenclature used by the IG) is the only secondary parameter involved, and it is assigned to distinguish whether seismic action was considered or not during the design. Such criteria regard the presence of structural details or distinctive elements such as shear keys on the top of pier cap and should be detected by engineers during on-site visual surveys. As the readers can easily guess, the final seismic vulnerability class is increased if there are no seismic design criteria. The Defectiveness level, discretized in the usual five classes, is defined through rules similar to those used for the structural-foundational risk, but, in this case, the classification emphasizes the presence of specific defects that may affect the seismic behavior of bridges.
The main contribution to the Seismic Vulnerability class is given by: Pier material (Fig. 10a); Number of spans (Fig. 10b); Static scheme (Fig. 4f); and LMAX (Fig. 10c). These primary parameters are considered more influential than the Defectiveness Level given that those geometrical and typological characteristics deeply affect the dynamic behavior of the bridge under seismic actions. For example, the structural redundancy, which is fundamental for the seismic capacity of the bridge, is considered through the static scheme parameter, now divided into isostatic and hyperstatic.
Looking at Fig. 10, the classification based on the pier material reports that 90.2% of bridges are supported by RC piers (Fig. 10a), while 81.2% of bridges are multi-span and 80.2% have an LMAX greater than or equal to 20 m. The distribution of seismic defectiveness levels shown in Fig. 10e closely resembles that of the Structural-foundational defectiveness levels (Fig. 7a). Specifically, 58.3% of bridges fall within the Medium to High range of classes. Also in this case, those classes are in most cases populated by bridges built between 1945 and 1980. Finally, the Seismic Vulnerability class (Fig. 5) is heavily skewed toward the higher classes (i.e., Medium-High to High) in 76.5% of cases.
Exposure parameters
The Seismic Exposure class starts from the Structural-foundational Exposure, modifying it through the secondary parameter Strategic importance (Fig. 11a). 96.8% of bridges are considered as strategic, which makes the Structural-foundational Exposure class increased by one. Observing the frequency distribution of exposure classes for the two risks (Fig. 5), the most populated class for structural-foundational risk is Medium-Low (34.0% of bridges), while for the seismic risk it is the Medium class (35.3% of cases), with a difference of 1.3%. On average, the same difference is found for the Medium and Medium-High exposure classes.
Figure 11. Frequency histograms of the secondary parameter Strategic importance, involved in Seismic Exposure class
Comparison between structural-foundational and seismic risk classification
As mentioned in Section 2, Hazard, Vulnerability, and Exposure classes are combined into a risk-specific Warning class (Fig. 5). Both structural-foundational and seismic warning classes are determined by combining their hazard, vulnerability, and exposure classes in the same way. The fundamental principle underlying the classification is to give greater importance to vulnerability rather than to hazard or exposure. Indeed, all bridges with a High vulnerability class are automatically assigned to a High warning class. A similar approach has been outlined in the classification of the Structural-foundational Vulnerability, where defectiveness carries the greatest impact: bridges with a High defectiveness level were automatically classified into a High vulnerability, regardless of other primary or secondary parameters. As a result, a similarity between the distributions of vulnerability classes and warning classes is expected. Considering only the Medium-High and High classes (Fig. 5), for the structural-foundational classification, 68.9% of bridges fall within these categories for vulnerability and 71.8% for the Warning class. For the seismic classification, the corresponding values are 76.5% and 80.8%, respectively. In Fig. 5, a clear similarity between the distributions of the Vulnerability classes and the Warning classes can be observed, as it could actually be expected.
Appraisal of Uncertainty in Risk Classification through Scenario Analysis
Some of the parameters discussed above, by their very nature, can be easily determined at the beginning of the assessment and are not affected by significant uncertainty. For example, the typological and geometric parameters of existing bridges, such as the static scheme and the material of the superstructure, are easily recognizable through on-site surveys and are unlikely to change over time, since their alteration would require a major change in the structure due to partial or total demolition. Therefore, especially when such activities are carried out by experienced engineers, it can be assumed that these parameters are fully consistent with reality.
Other types of parameters, not related to the bridge structure, could instead be influenced by instrumental and/or operator errors or could evolve over time, thus being subject to a certain degree of uncertainty. For example, ADTT and ADT, which are not directly measured by the inspector on site but are inferred from available documentation, could be affected by incomplete or missing data or by the difficulty of obtaining truly representative values. In fact, these quantities show high temporal variability and are updated annually by the transport management authorities.25 Another case of uncertain parameter is the presence or absence of road alternatives (Fig. 8c), which is an evaluation depending on possible road restrictions and would require more extensive and in-depth studies on the impact on the road network. Such studies are often unavailable, so the choice is mostly made by the inspector, who usually takes a decision on the safe side. Similar considerations can be made for the parameter Strategic importance (Fig. 11), although characterized by fewer uncertainties.
To appraise some of the uncertainties in the classification of structural-foundational and seismic risk, four scenario-based analyses have been proposed, in which a reasonable variation in the parameters ADTT, ADT, Road alternatives, and Strategic importance is assumed; the new classifications are derived and compared to the previous ones. The actual values of parameters and classes, as calculated with the actually available information in the data set, are referred to as the “baseline,” against which the results of the scenarios will be compared.
ADTT and ADT values have progressively been increased by 5% increments with respect to the baseline (Fig. 12): Scenario 1 considers a +5% increment; Scenario 2 considers a +10% increment; Scenario 3 considers a +15% increment; and Scenario 4 considers a +20% increment. In the baseline, ADTT values (Fig. 12a) were characterized by an almost uniform distribution, which is substantially altered in the four scenarios. ADT (Fig. 12b) shows a higher concentration in the lower range (i.e., ≤ 10,000) both in the baseline and in the four scenarios. In Scenario 4 (+20%), more than 10% of bridges shift to the highest range both for ADTT and ADT (Fig. 12).
Figure 12. Stacked frequency histograms of: (a) ADTT; (b) ADT; (c) Structural-foundational Hazard class; (d) Structural-foundational Exposure class; and (e) Structural-foundational Warning class. Each diagram refers to scenarios characterized by a progressive increase in ADT and ADTT values (i.e., 1: +5%; 2: +10%; 3: +15%; and 4: +20%). “Baseline” refers to the dataset as is
A different approach has been adopted for the parameters Road alternatives and Strategic importance, proposing five scenarios. A decreasing presence of road alternatives is envisaged (Fig. 13): Scenario 1 considers 100% of cases; Scenario 2 considers 75% of cases; Scenario 3 considers 50% of cases; Scenario 4 considers 25% of cases; and Scenario 5 considers 0% of cases. For the Strategic importance (Fig. 14), the number of strategic bridges is progressively reduced: 100% in Scenario 1; 75% in Scenario 2; 50% in Scenario 3; 25% in Scenario 4; and 0% in Scenario 5. It is worth observing that for both parameters, the first and the last scenarios are clearly unrealistic and have only been included to observe the distribution at the extremes of the warning classes. It should also be observed that each scenario has been obtained by considering the variation of one single parameter at a time, the different parameters do not interact with each other and that each parameter is assumed as independent from the others, except for ADTT and ADT, which are both increased by the same amount.
Figure 13. Frequency histograms of: (a) Road alternatives; (b) Structural-foundational Exposure class; and (c) Structural-foundational Warning class. Each diagram refers to scenarios in which the Road alternatives parameter is changed. “Baseline” refers to the dataset as is
Figure 14. Frequency histograms of: (a) Strategic importance; (b) Seismic Exposure class; and (c) Seismic Warning class. Each diagram refers to scenarios characterized by a progressive change of Strategic importance parameter. “Baseline” refers to the dataset as is
With regard to the Hazard and Exposure classification, which depends on ADTT and ADT respectively, an increasing trend towards higher classes is observed, highlighting the influence of such parameters (Fig. 12). The same conclusions can be drawn for the Structural-foundational Warning class, for which, in the case of Scenario 1, that most realistic among the five, the High class is increased by almost 4%.
Similar considerations can be made for the scenarios regarding Road alternatives (Fig. 13) and Strategic importance (Fig. 14), which affect, respectively, the Structural-foundational and Seismic Warning class. Both are secondary parameters and raise the classification obtained through primary parameters by one class. The significant impact related to the lack of road alternatives (Scenario 5; Fig. 13a) and the strategic importance of bridges (Scenario 5; Fig. 14a) is evident in the distribution of the exposure classes (Figs. 13b and 14b, respectively). The effect on the warning classes (Figs. 13c and 14c, respectively) is milder, since it is mainly influenced by the contributions of hazard and vulnerability classes, as already highlighted in Section 5.
Conclusions
The collaboration between the FABRE consortium and Anas S.p.A has provided an opportunity to perform a wide statistical investigation on a sample of 746 bridges, representative of the bridge stock across the Italian road network, for which groups of experts from 20 different universities were involved in the pilot application of the multi-level approach of IG, collecting and organizing in an appropriate DB the information gathered.
In the study, the parameters involved in Level 1 and Level 2 assessment, with specific regard to the structural-foundational and seismic risk and their components (Hazard, Vulnerability, and Exposure), have been statistically investigated, discussing the logical flow and appraising some epistemic and statistical uncertainties in data and their impact on the classification. The analysis of general census parameters and structural features allowed to appraise that the multi-span simply supported prestressed reinforced concrete girder bridges are the most recurrent typology in the inventory. An important observation emerged from the statistical analysis of the maximum span length (LMAX) through the different static schemes, indicating that the real distribution found in the sample is not well described by the categorization proposed by the IG: the discretization of the interval adopted is too coarse and, as a result, loses resolution for bridge spans longer than 25 m. Considering the impact on the final classification, the effect is a compression into a single Warning class, suggesting that the adoption of a finer subdivision could improve the characterization of the Structural-foundational vulnerability classes, which have been identified as predominant in the structural-foundational risk classification.
The final section of the study proposes the analysis of some independent multiple scenarios based on the parameters ADTT, ADT, Road alternatives, and Strategic importance. These parameters were chosen because, at Level 1 of the process, they are characterized by a significant uncertainty affecting the final risk classification. This suggests that it would be useful to keep track of the quality of information retrieved by the inspectors (providing, for example, a specific field to be filled in to indicate whether the data is estimated or derived from documents), supporting the decision if it is critical to acquire new information and refine the classification. The discussion of results allowed to appraise how much the increase in ADTT and ADT values actually shifts the classification towards higher structural-foundational hazard and exposure classes. Similar results were found for the scenarios about the parameters Road alternatives and Strategic importance with respect to the Structural-foundational/Seismic (respectively) exposure and warning classes. The effect on the warning classes is not so severe, since it is mainly influenced by hazard and vulnerability classes, and especially by the defectiveness level, which would deserve ad-hoc studies for the assumption of the evolution scenarios, based on more proper models for material degradation, and particularly corrosion, that deeply affect the structural26 and seismic capacity27 of bridges.
References
Bridge Engineering Handbook. W.-F. Chen & L. Duan; 2014.
Opere d’arte-Portale ANSFISA. Published online 2025.
Linee Guida per la classificazione e gestione del rischio, la valutazione della sicurezza ed il monitoraggio dei ponti esistenti (in Italian). Published online 2020.
Aggiornamento delle norme tecniche per le costruzioni (in Italian). Published online 2018.
Homepage—Fabre Consortium. Published online 2021.
Application of Italian guidelines for structural-foundational and seismic risk classification of bridges: the fabre experience on a large bridge inventory. Proc Struct Integr. 2024;62:1-8. doi:10.1016/j.prostr.2024.09.009
Statistical analysis of risk assessment of bridges and viaducts according to recent Italian guidelines. Proc Struct Integr. 2024;62(8):40-47. doi:10.1016/j.prostr.2024.09.014
Application of the Italian guidelines for risk classification and management of bridges on a large sample owned by local municipalities. Proc Struct Integr. 2024;62:9-15. doi:10.1016/j.prostr.2024.09.010
Risk assessment of ANAS bridge stock in the north-east of Italy. Proc Struct Integr. 2024;62:48-56. doi:10.1016/j.prostr.2024.09.015
Fragility analysis of existing prestressed concrete bridges under traffic loads according to new Italian guidelines. Struct Concr. 2023;24(1):1053-1069. doi:10.1002/suco.202200158
Multilevel approach for management of existing bridges: critical analysis and application of the italian guidelines with the new operating instructions. Infrastructures. 2023;8(4). doi:10.3390/infrastructures8040070
Statistical analysis of existing bridges inspection results and road network risk management. Proc Struct Integr. 2024;62:57-64. doi:10.1016/j.prostr.2024.09.016
A GIS plugin for the assessment of deformations in existing bridge portfolios via MTInSAR data. Remote Sens. 2024;16(22). doi:10.3390/rs16224293
A MTInSAR-based early warning system to appraise deformations in simply supported concrete girder bridges. Struct Control Health Monitor. 2024;2024(1). doi:10.1155/2024/8978782
A new methodology for the diagnosis and monitoring of bridges under slow deformation phenomena. Int J Bridge Eng, Manag Res. 2024;1(1):1-13. doi:10.70465/ber.v1i1.1
A procedure for bridge visual inspections prioritisation in the context of preliminary risk assessment with limited information. Struct Infrastruct Eng. 2025;21(3):394-420. doi:10.1080/15732479.2023.2210547
Preliminary fast assessment of bridge risk by neural network. Int J Disast Risk Reduct. 2025;116. doi:10.1016/j.ijdrr.2024.105084
Automatic detection of typical defects in reinforced concrete bridges via YOLOv5. Proc Struct Integr. 2024;62:129-136. doi:10.1016/j.prostr.2024.09.025
A novel quantitative approach for multi-hazard risk assessment of linear infrastructure: a geological-geotechnical index. Int J Bridge Eng, Manag Res. 2025;2(2). doi:10.70465/ber.v2i2.24
Nonlinear response characterization of post-tensioned R.C. bridges through hilbert-huang transform analysis. Struct Control Health Monitor. Published online 2024. doi:10.1155/2024/5960162
Exposure knowledge impact on regional seismic risk assessment of bridge portfolios. Bull Earthq Eng. 2022;20:7137-7159. doi:10.1007/s10518-022-01491-z
Seismic vulnerability of the Italian roadway bridge stock. Earthq Spectr. 2015;31(4):2137-2161. doi:10.1193/070413EQS190M
Parametric characterization of RC bridges for seismic assessment purposes. Structures. 2016;7:14-24. doi:10.1016/j.istruc.2016.04.003
Istruzioni Operative per L’applicazione delle Linee Guida per la Classificazione e Gestione del Rischio, la Valutazione della Sicurezza ed il Monitoraggio dei Ponti Esistenti [Italian version]. Published online 2022.
Dati di traffico medio—Anas. Published online 2024.
Corrosion-induced fragility of existing prestressed concrete girder bridges under traffic loads. Eng Struct. 2024;314. doi:10.1016/j.engstruct.2024.118302
Computer vision-based seismic assessment of RC simply supported bridges characterized by corroded circular piers. Bull Earthq Eng. Published online 2025. doi:10.1007/s10518-025-02291-x
Published
How to Cite
Issue
Section
License
Copyright (c) 2026 Giuseppina Uva

This work is licensed under a Creative Commons Attribution-NonCommercial-NoDerivatives 4.0 International License.
© Authors under CC Attribution-NonCommercial-NoDerivatives 4.0.
