Electrical Resistivity Tomography and Ground Penetrating Radar in landslide and bridge studies: a bibliographic overview
DOI:
https://doi.org/10.70465/ber.v3i1.71Keywords:
bridges, landslides, bridge-landslide interactions, ERT, GPR, NDTAbstract
This study deals with bridge failures and provides a comprehensive bibliographic review of nondestructive testing, focusing attention on electrical resistivity tomography and ground-penetrating radar for investigating bridges and their interactions with landslides. The bibliographic analysis reveals growing interest in remote sensing and in situ geophysical techniques applied to these fields, but also identifies critical knowledge gaps. In the literature, the use of the ground-penetrating radar for investigating bridge superstructures is well documented, whereas studies focusing on bridge substructures and bridge–landslide interactions are relatively limited. To date, no comprehensive reviews have examined the use of ground-penetrating radar in landslide investigations, nor have any studies integrated bridges, landslides, and ground-penetrating radar. On the other hand, electrical resistivity tomography has been widely employed in landslide investigations, whereas few studies address its use for bridges, where it primarily serves to characterize foundation soils and bridge foundations rather than superstructures. Moreover, no articles have examined the use of electrical resistivity tomography for analyzing interactions between bridges and landslides. This review highlights the pressing need for further research to advance and promote the effective use of groundpenetrating radar and electrical resistivity tomography in bridge and bridge–landslide investigations. It also highlights the importance of developing standardized protocols to ensure the accurate and consistent application of these techniques. Furthermore, the complementary capabilities of these techniques can greatly enhance the understanding of bridges and their interactions with landslides, thereby supporting more resilient infrastructure management.
Downloads
Introduction
Bridges are essential components of any transportation infrastructure, as they allow the crossing of natural and human-made obstacles. Furthermore, they play a fundamental role in supporting public welfare, economic development, and social connectivity. However, due to their complexity and cost, bridges are generally located at only a few key points in a transport network, which makes the resilience of the overall network highly dependent on their performance. Their failure, or even a reduction in serviceability, can disrupt traffic flow and network functionality. Despite their essential role, bridges worldwide face common challenges: structural deterioration caused by aging, harsh environmental conditions, increasing traffic loads, and often insufficient maintenance.
Numerous studies have analyzed the primary causes of bridge failures, identifying aging, environmental stressors, human-induced and natural hazards, inadequate maintenance, and overloading as key factors. Particularly in Europe, many reinforced concrete bridges were built during the post-World War II reconstruction, sometimes under emergency conditions, resulting in incomplete or lost original design documentation.1 Zhang et al.2 classified bridge failure causes by regional economy, structural typology, materials, usage, and service age, offering a ranked list of leading factors contributing to structural deficiencies.
Bridge failures cover various structural problems, but in certain instances these have culminated in bridge collapses, highlighting their critical importance worldwide. For example, in China, 418 bridge collapses were reported between 2009 and 2019, primarily caused by flooding, scouring, collisions, overloading, design defects, and natural hazards such as earthquakes and fire.3 In the United States, 503 bridge collapses were recorded from 1989 to 2000, mostly attributable to floods and scouring.4 Similarly, Italy has witnessed at least 10 major bridge collapses since 2013, resulting in human casualties and significant economic losses. Among these, the collapse of the Polcevera Bridge in Genoa (August 14, 2018) stands out as a tragic symbol of inadequate maintenance, resulting in 43 casualties.5–7 The collapse of the Caprigliola Bridge in Massa-Carrara (2020) further highlighted the vulnerability of Italian infrastructure. The bridge was built in the early twentieth century as one of the first in reinforced concrete and it abruptly collapsed, despite a recent inspection that had excluded critical issues.8 In the last two decades, only approximately 2% of the total bridge collapses in Italy were directly attributed to landslides,9 but the extent of bridge damage and associated service disruptions caused by landslides is significantly greater, with accurate estimates still lacking. The significance of this issue is underscored by the Italian Landslide Inventory (IFFI) of the Italian Institute for Environmental Protection and Research,10 which shows approximately 625,000 landslides affecting 8% of the national territory.11 Comprehensive studies analyzing hundreds of bridges across multiple regions indicate that nearly 23% of these structures are impacted by landslides, highlighting a critical need to understand and manage landslide–bridge interactions to enhance infrastructure resilience and safety.11,12
All these issues highlight the vulnerability of aging infrastructures and the urgent need for effective management and safety evaluation.3,4,13–17 In response, optimized bridge maintenance strategies have become imperative. Rapid structural damage assessment in emergency scenarios is crucial for prioritizing interventions on bridges and ensuring public safety.
To address these challenges, the Italian Guidelines for classification and risk management, safety assessment, and monitoring of existing bridges were issued in 2020 and updated in 2022.18,19 They propose a multi-level, multi-risk approach based on six levels (from 0 to 5) of progressive investigations. The first three levels (0, 1, and 2) are mandatory for all bridges to determine the need for further levels of assessment and to prioritize maintenance. Four risks are considered: structural-foundational, seismic, landslide, and hydraulic. Each risk is qualitatively classified into five classes, from low to high, based on hazard, vulnerability, and exposure factors.20 The outcome of the procedure is then a multi-risk Class of Attention. A quantitative approach to improve this procedure has been proposed to facilitate prioritization.21 Other countries, such as the United Kingdom, similarly use a scoring system to assess structural conditions and the need for further evaluation.22
Among the structural components of a bridge, particular attention is required for the foundations, especially because bridge design documentation is often unavailable, and therefore the type, geometry, and depth of the foundations are unknown. Information on bridge foundations is typically obtained through traditional invasive investigation techniques, such as excavations and corings. Although these techniques provide precise data, they are costly and potentially damaging to the structure, motivating the increasing use of nondestructive testing (NDT) for remote sensing and in situ assessment. NDT has proven valuable by providing detailed information without invasive intervention, preserving infrastructure integrity, reducing unexpected costs, and shortening investigation times.23–25
NDT plays a pivotal role in modern civil engineering by enabling the characterization, monitoring, and diagnosis of infrastructure conditions without compromising their integrity. These techniques are broadly classified into two main categories: (i) remote sensing and (ii) in situ geophysical techniques.
Remote sensing techniques carried out using satellites, aircraft, or drones provide spatially extensive data over large areas, critical for monitoring infrastructural and environmental conditions at regional scales. These include satellite synthetic aperture radar interferometry (InSAR),26,27 airborne light detection and ranging (LiDAR),28 optical imaging from satellites and drones,29 unmanned aerial vehicle (UAV) (drone)-based photogrammetry and structure-from-motion,30 and others.
In situ geophysical techniques are directly applied on or within the structures and their supporting ground, providing detailed and localized information. Examples are reported in the following papers: sonic and ultrasonic testing;31–33 high-precision tiltmeters with rapid deployment capability;34 single-station and array ambient noise measurements;35,36 electrochemical techniques like half-cell potential (HCP) measurements (G01 Committee n.d.); ground-penetrating radar (GPR);37–41 electrical resistivity tomography (ERT);42–47 Vp/Vs and Poisson’s ratio;48 borehole logging such as nuclear, sonic, and electrical logs;49 distributed acoustic sensing technology and fiber optic sensing systems;50 and controlled-source audio-frequency magnetotelluric.51
In this work, a comprehensive review of the literature from 2000 to 2025 is presented to highlight opportunities and challenges in applying NDT, and in particular GPR and ERT, to bridges, with a focus on bridge foundations and bridge–landslide interactions. Unlike floods, which produce dramatic, well-documented failures, landslides can induce progressive structural damage, serviceability reduction, and prolonged traffic disruptions with significant economic consequences, representing a widespread yet underexplored threat to infrastructure resilience. This review aims to provide a valuable reference for researchers and practitioners involved in nondestructive evaluation of critical infrastructures, particularly those affected by landslides.
Bridges, Landslides, and Their Interaction
Historically, bridge construction has evolved from ancient natural fiber and timber structures to stone or masonry arches and then to metal structures. In particular, some masonry bridges, which still serve many road and railway networks, date back to the Roman or medieval periods. Their structural stability is increasingly under scrutiny, not only due to aging and prolonged exposure to environmental agents but also because current variable loads may significantly exceed those anticipated in the original design.52 Masonry bridges may also be monumental works and therefore deserve attention and conservation efforts, which sometimes can only be guaranteed through downgrading (i.e., limiting the loads to be supported). An example is the Milvian Bridge in Rome, which is no longer used for vehicles but only for pedestrians. Masonry bridges have particularly extensive substructures (piers and abutments), which, in the presence of waterways, constitute a serious obstacle during floods. For this reason, in some non-monumental structures, a solution is to demolish the masonry bridge and replace it with more slender structures to allow for greater water flow. In any case, knowledge of the portion of the structure hidden and in contact with the ground is essential. More recently, reinforced concrete and prestressed reinforced concrete have constituted a valid alternative, both economically and statically, to steel in bridge construction.6 Table 1 reports an example of the criteria for bridge classification, including construction material, intended use, structural scheme, and obstacle crossed.1
| Materials | MasonryTimberSteelReinforced concreteComposite (or mixed) |
|---|---|
| Intended use | RoadwayRailwayPedestrian |
| Obstacles to be crossed | Bridge (in the general sense)Viaduct (a long-elevated bridge, typically spanning wide valleys, large-scale terrain features, or extensive urban areas)Overpass (over another road) |
| Structural scheme | Simply supported or continuous beamArchFrameCable-stayedSuspension |
Although no single bridge typology exists, main components are common to most bridges, and can be summarized as: (i) superstructure, including the elements above the bearings or supports, such as the deck, which carry the traffic load and transfer it downwards, and (ii) substructure, consisting of the part below the bearings, such as piers, abutments, and foundations, which support the superstructure and transfer the loads to the ground (Fig. 1).
Figure 1. Bridge structural components
However, both superstructure and substructure are exposed to processes that may adversely affect their condition. Therefore, their survey is crucial to assess the bridge health condition and understand how to maintain the bridge’s original performance over time. The phenomena that, individually or in combination, may compromise structural safety and serviceability are commonly referred to as damage processes. These processes encompass various types of deterioration that can lead to structural degradation, failure, or even collapse.
Generally, these processes can be classified into four main categories: Structural damage, caused by events such as floods, earthquakes, landslides, human-induced actions, among others. Foundation damage, resulting from unfavorable soil conditions, inadequate construction, among others. Traffic damage, due to repeated exposure to heavy loads or to overloaded vehicles. Environmental damage, including corrosion, carbonation, fire, biological growth, among others.
Knowledge of damage processes is a fundamental step, as it enables the understanding of the structural performance evolution, the maintenance planning, and the scheduling of rehabilitation works. To this end, many countries have established databases to catalogue all the bridges within their territory along with their structural and functional characteristics. Some representative examples include the United States, France, and Italy, which have developed national or regional systems to manage bridge data and ensure the safety of their transport infrastructures.
In the United States, the National Bridge Inventory dataset maintained by the Federal Highway Administration catalogs over 620,000 bridges located along public roads, including Interstate Highways, U.S. highways, State and county roads, as well as publicly accessible bridges on Federal and Tribal lands (Tables 2 and 3).
| Type | Counts | |||||
|---|---|---|---|---|---|---|
| Reinforced concrete | Steel | Prestressed concrete | Timber | All other | Total | |
| Roadway | 102,349 | 127,298 | 165,880 | 12,331 | 273 | 408,131 |
| Interstate | 10,349 | 21,095 | 18,095 | 1 | 17 | 49,557 |
| U.S. highways | 7456 | 10,384 | 16,021 | 31 | 4 | 33,896 |
| County highways | 44,345 | 53,584 | 63,555 | 8008 | 116 | 169,608 |
| City street | 12,666 | 10,350 | 19,555 | 905 | 588 | 43,534 |
| Type | Percent share | ||||
|---|---|---|---|---|---|
| Reinforced concrete | Steel | Prestressed concrete | Timber | Other | |
| Roadway | 25.10% | 31.20% | 40.60% | 3.00% | 0.10% |
| Interstate | 20.90% | 42.60% | 36.50% | 0.00% | 0.00% |
| U.S. highways | 22.00% | 30.60% | 47.30% | 0.10% | 0.00% |
| County highways | 26.10% | 31.60% | 37.50% | 4.70% | 0.10% |
| City street | 29.10% | 23.80% | 44.90% | 2.10% | 0.10% |
The French General Inspectorate for the Environment and Sustainable Development, IGEDD (Inspection Générale de Environment et du Développement Durable), estimates about 221,000 bridges in French territory, of which approximately 87,000 municipality road bridges, 110,000 provincial and regional road bridges, 12,000 national road bridges, and 12,000 motorway bridges.53
In Italy, the management of the road network is distributed among various authorities such as the Government, Regions, Provinces, Municipalities, and private concessionaires. This fragmentation hampers the creation of a national infrastructure inventory. Data from ANSFISA (Italian National Agency for Railway Safety and Infrastructures) report the presence of 2179 tunnels totaling 1759 km, 21,072 bridges spanning 2829 km, and 6320 overpasses (Table 4). However, these data only cover approximately 4% of the total Italian road infrastructure by length, since reliable information is currently lacking for local road owners.
| Managing bodies | Road type | km | Tunnels | Bridges | Overpasses | |||
|---|---|---|---|---|---|---|---|---|
| N° | km | N° | km | N° | km | |||
| Motorway concessionaires | Motorways | 8004 | 1318 | 1051 | 8199 | 1474 | 3846 | – |
| ANAS | National roads | 27,259 | 861 | 708 | 12,873 | 1355 | 2474 | – |
| TOT | 35,263 | 2179 | 1759 | 21,072 | 2829 | 6320 | – | |
| Construction year | Age (as of 2019) | Percentage | ||||||
| Before 1961 | More than 58 years | 24% | ||||||
| Between 1961 and 1980 | Between 39 and 58 years | 28% | ||||||
| Between 1981 and 2000 | Between 19 and 38 years | 33% | ||||||
| After 2000 | Less than 19 years | 15% | ||||||
In addition to institutional databases, several studies in the scientific literature have reported similar efforts to collect and organize information on bridge performance and failures. For instance, D’Angelo et al.9 provide a database of 246 bridge collapses (194 total and 52 partial collapses) occurred in Italy between 2000 and 2023. Fig. 2A illustrates the geographical distribution of bridge collapses across Italy, while Figs. 2B and 2C present their timeline and the causes of collapse, respectively. It is worth mentioning that a collapse can result from multiple causes, often involving a combination of non-triggered events (i.e., failures not resulting from a sudden event, such as material degradation) with triggered events (i.e., sudden events such as natural disasters). To assign a unique cause of collapse, D’Angelo et al.9 assumed that the presence of a trigger at the moment of collapse automatically classifies the event as “triggered,” even if other causes contributed to reducing structural performance. Therefore, for “non-triggered” events, the cause was attributed only to either Design and Construction or Material deterioration (see Fig. 2C). Hydraulics is by far the predominant cause of collapse, accounting for as many as 198 out of 246 cases (80.5%).
Figure 2. (A) Geographical distribution of collapses. (B) Timeline of bridge collapses, shown alongside the cumulative numbers. (C) Causes of collapses. Modified from9
Although bridge collapses caused by landslides account for only 2% of the total, the interaction between landslides and bridges has recently emerged as a critical issue in Italy, as landslides may damage bridges and cause significant service disruptions. The IFFI10 records about 625,000 landslides affecting approximately 8% of the national territory.11 Recent scientific literature reports numerous cases in Italy of damaged bridges caused by landslides, highlighting notable examples such as the Albiano Magra bridge in Tuscany,56 the Ginosa Bridge in Puglia,44 the Ischia del Basento Bridge in Basilicata,57 the Himera Viaduct in Sicily,58 the Vallone–Chiusa bridge in Campania,59 and the Serra railway viaduct in Basilicata.60,61 Stacul et al.11 analyzed 467 bridges across 12 Italian regions and found that 106 (23%) interfere with landslides. Similarly, Salciarini et al.12 analyzed 382 bridges and reported that 23% are affected by one or more landslides. Among the structural components of a bridge, particular attention must be given to the foundations, especially because in many cases bridge design documentation is not available, and therefore the type, geometry, and depth of the foundations are often unknown.
Salvatore et al.20 analyzed 447 bridges managed by ANAS (the Italian highway agency) to assess the parameters related to structural-foundation and seismic risk, based on primary and secondary factors affecting hazard, vulnerability, and exposure, in accordance with the Italian Guidelines.19,20,62 As many as 74.7% of the analyzed bridges were classified within a HIGH or MEDIUM-HIGH structural-foundation Class of Attention, that is, in the top two risk classes.
According to D’Angelo et al.,9 deterioration phenomena (e.g., corrosion, fatigue, overloads, and accidental impacts) represent the most important cause of degradation in bridges. Their understanding is crucial for performance prediction, maintenance planning, and rehabilitation intervention scheduling.63 For concrete in particular, chloride contamination acts as a catalyst for reinforcement corrosion, accelerating degradation. Additionally, studies on arch bridges have identified physical, chemical, and biological degradation mechanisms that support the optimization of inspection and maintenance strategies (Table 5).64
| Degradation mechanisms | Damage processes | |
|---|---|---|
| Physical | Accumulation of inorganic contamination | Aggradation |
| Freeze/thaw actions | Freeze-thaw | |
| Erosion | Erosion/abrasion | |
| Crystallization | — | |
| Extremal temperature influence | Temperature | |
| Rheological processes | Aging of material | |
| Overlanding | Overloading of an element | |
| Leaching | — | |
| Fatigue | Fatigue | |
| Changes of geotechnical conditions | — | |
| Chemical | Carbonation | Carbonation, pitting, corrosion related to prestressing steel, corrosion related to reinforcement steel |
| Corrosion | Corrosion related to structural steel, corrosion related to equipment made of steel, corrosion related to fixings, connectors | |
| Aggressive environmental impact | Sulfate reaction/chemical action | |
| Reactions between material components | Alkali aggregate reaction | |
| Biological | Accumulation of organic contamination | Biological growth |
| Influence of microorganisms | Biological growth | |
| Influence of plants | Biological growth | |
| Influence of animals | Biological growth |
Data on bridge damage and deterioration phenomena, bridge foundations, landslides, and bridge–landslide interactions are typically obtained through traditional invasive investigation techniques, such as excavations, corings, and laboratory tests, among others. Although these techniques provide precise data, they can be costly and potentially damaging to the structure, which justifies the increasing interest in NDT.
Data and Method
This review was conducted in four stages: (1) performing a search query on the Scopus database; (2) screening the search results, (3) conducting bibliometric and systematic analyses, and (4) evaluating the application, limitations, and opportunities for broader adoption of NDT in the context of bridges, landslides, and their interactions.
At the first stage, a systematic search was conducted in the Scopus database to identify relevant publications. Scopus is widely recognized as one of the largest and most comprehensive literature databases.65,66 The initial step involved the formulation of the research questions and definition of the objectives of this review, which aims to analyze research trends related to the use of NDT in civil engineering, for investigating bridges and landslides that have caused, or may potentially cause, damage to bridges. For the sake of brevity, this combination of bridges and landslides causing or potentially causing damage to bridges will be hereafter referred to as “bridge–landslide.” The goal was to identify research gaps and outline future research directions. The search was limited to papers published in English from 2000 to 2025 within the Engineering subject area, using:
- Query N1—(‘bridges’) AND [(‘remote sensing’) OR (UAV) OR (spaceborne) OR (airborne) OR (drone) OR (UAS) OR (satellite) OR (SAR)]
- Query N2—(‘bridges’) AND [(‘GPR’) OR (‘ERT’) OR (geophysical) OR (non-destructive testing) OR (ultrasonic) OR (MASW) OR (ambient vibration test) OR (sonic) OR (tiltmeter) OR (ambient noise) OR (half-cell potential) OR (Poisson’s ratio) OR (borehole) OR (acoustic) OR (fiber optic) OR (audio-frequency magnetotelluric)]
The final dataset selected for full-text review includes 1884 articles from query N1 (bridge–remote sensing) and 3947 articles from query N2 (bridge–in situ geophysical techniques).
Following the bibliometric phase, which includes the analysis of yearly publication trends and the distribution of publications normalized by population and grouped by country, a systematic analysis is performed on the selected articles to identify research directions related to the application of NDT in bridges, landslides, and bridge–landslide interactions. This analysis also evaluates factors influencing data acquisition and processing, as well as methods used for data interpretation. Finally, research gaps are identified, and suggestions for future research are proposed.
Bibliometric Analysis on NDT
The bibliometric analysis starts by observing the publication trend over time for 1884 studies focused on remote sensing techniques applied to bridges–landslides (Fig. 3), which evidences the increased attention to this research topic in recent years.
Figure 3. Publication trend on remote sensing techniques applied to bridges
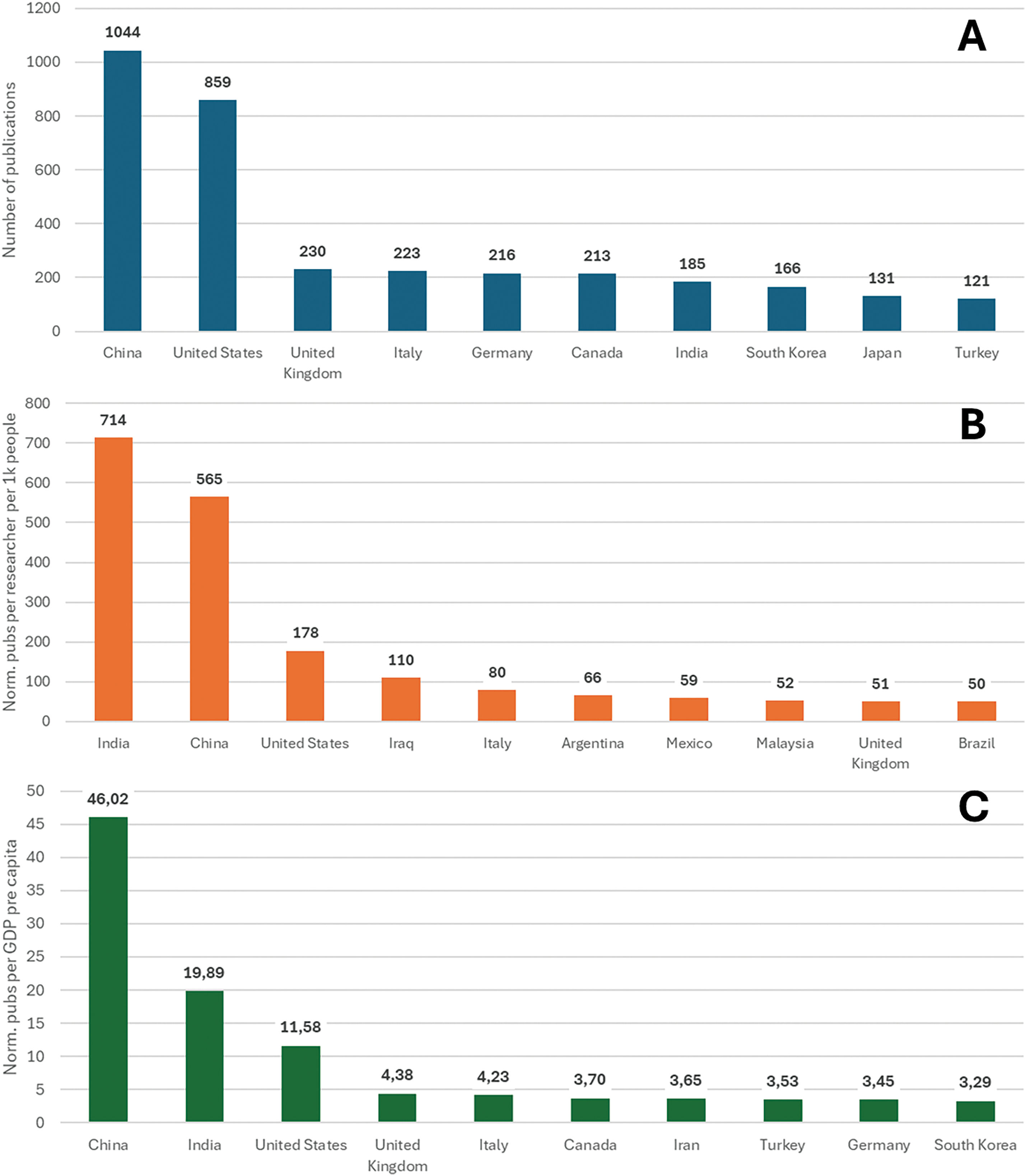
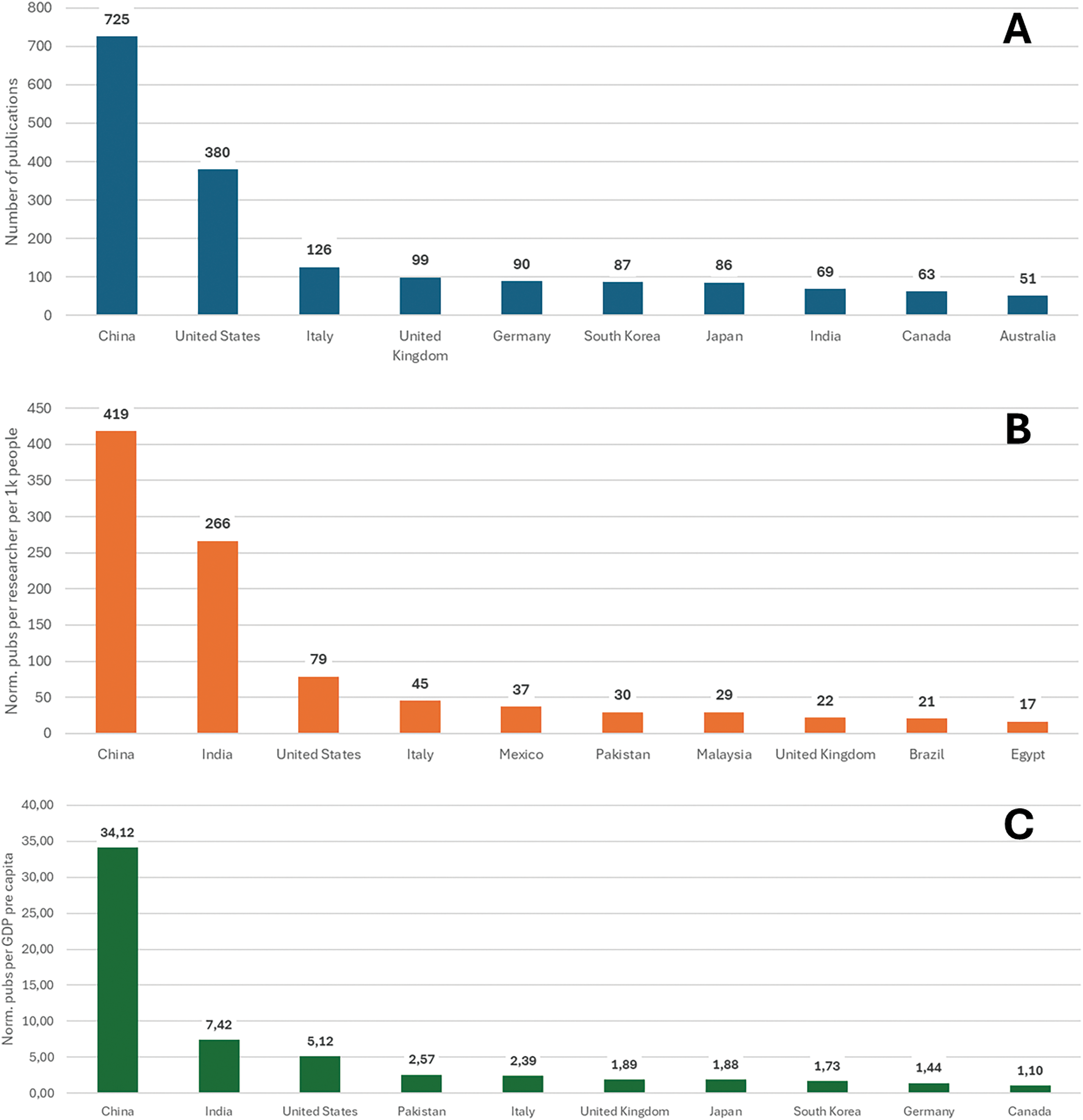
The key countries driving research activity in this research field are detailed in Fig. 4. Leading the list in terms of total publications are China (725), the United States (380), Italy (126), the United Kingdom (99), and Germany (90). When normalized by researchers per thousand people, leading countries are China (419), India (266), the United States (79), Italy (45), and Mexico (37), whereas when normalized by gross domestic product (GDP) per capita, the leading countries are China (34.12), India (7.42), the United States (5.12), Pakistan (2.57), and Italy (2.39). Moreover, the analysis identifies the five principal funding sponsors, which are, in descending order, the National Natural Science Foundation of China, the National Key Research and Development Program of China, the Fundamental Research Funds for the Central Universities, the European Commission, and the National Science Foundation.
Figure 4. Quantitative summary of prominent countries in remote sensing techniques applied to bridges, showing (A) number of publications by country, (B) normalized publications per researchers per thousand people (calculated as number of researchers divided by population, multiplied by one thousand), and (C) normalized publications per gross domestic product (GDP) per capita, adjusted for purchasing power parity (PPP), expressed in constant 2021 international dollars
Fig. 5 shows the temporal trend of 3947 publications related to in situ geophysical techniques applied to bridges. This trend highlights the increasing research interest in recent years.
Figure 5. Publication trend on in situ geophysical techniques applied to bridges
A more in-depth description of the most influential countries contributing to in situ geophysical techniques applied to bridge research is provided in Fig. 6. It should be noted that China, the United States of America, United Kingdom, Italy, and Germany are the five most prolific countries in this research topic, with 1044, 859, 230, 223, and 216 published documents, respectively. Conversely, the five most virtuous countries in terms of publication counts normalized per researchers per thousand people are India (714), China (565), United States (178), Iraq (110), and Italy (80), whereas in terms of publications normalized per GDP per capita are China (46.02), India (19.89), the United States (11.58), the United Kingdom (4.38), and Italy (4.23). The analysis also revealed that the top five funding sponsors, in descending order, are the National Natural Science Foundation of China, the Key Research and Development Program of China, the National Science Foundation, the Fundamental Research Funds for the Central Universities, and the Engineering and Physical Sciences Research Council.
Figure 6. Quantitative summary of prominent countries in in situ geophysical techniques applied to bridges, showing (A) number of publications by country, (B) normalized publications per researchers per thousand people (calculated as number of researchers divided by population, multiplied by one thousand), and (C) normalized publications per gross domestic product (GDP) per capita, adjusted for purchasing power parity (PPP), expressed in constant 2021 international dollars
As a fundamental result, the bibliographic analysis of in situ geophysical techniques highlighted the limited use of ERT and GPR, despite their potential to provide substantial contributions to the study of bridges. For this reason, the following paragraphs focus on these two techniques, outlining their physical principles, instrumentation, data acquisition methods, processing, and interpretation as reported in the scientific literature.
GPR Bibliometric Framing
GPR is a well-known geophysical nondestructive technique based on the transmission and reception of high-frequency electromagnetic pulses (0.01–3 GHz) to detect discontinuities in materials or subsurfaces. Strong contrasts in geophysical properties (i.e., dielectric permittivity, electrical conductivity and magnetic permeability) at interfaces between adjacent materials generate reflections detectable by the radar system. These principles make GPR effective for locating structures, voids, reinforcement, and degradation in civil engineering applications. For a detailed theoretical description of GPR, see Daniels.67
A more comprehensive literature search was conducted specifically for GPR using the following query, with results limited to articles in English from 2000 to 2025 within the Engineering subject area:
(‘ground penetrating radar’) AND (‘bridge’)
Beyond the systematic Scopus search, a manual review of technical–scientific literature was undertaken to identify articles, extended abstracts, and technical reports not captured by the previous database query, focusing on GPR–landslide, GPR–bridge–foundation, and GPR–bridge–landslide interactions.
As a result, a dataset comprising 243 publications on GPR–bridge, 94 on GPR–landslide, 13 on GPR–bridges–foundation, and 0 on GPR–bridges–landslide was defined. Each publication in the dataset may cover additional techniques, bridge components, or natural hazards. For example, among the 243 publications on GPR–bridge, only 2 employed both GPR and ERT, whereas among the 94 on GPR–landslide, only 42 employed both GPR and ERT. Fig. 7 shows the temporal trend of publications.
Figure 7. Temporal trend of the publications on ground-penetrating radar–landslide, ground-penetrating radar–bridge, ground-penetrating radar–bridges–foundation, and ground-penetrating radar–bridges–landslide
It should be noted that GPR is predominantly employed as an in situ geophysical technique, although in recent years it has also been deployed from UAVs. Scientific articles on drone-borne GPR systems were identified only from 2019 onwards, with a total of 22 publications found, of which 9 were published in 2025, addressing various applications of this emerging remote sensing technique.
GPR–BRIDGE
Thanks to the high resolution offered by GPR, the technique has various applications in the study and characterization of reinforced concrete and masonry bridges. Two main targets can be distinguished: (i) the characterization of structural elements and (ii) the detection of possible deterioration phenomena, although it should be noted that these two targets are interdependent. Indeed, monitoring and/or detecting problems affecting engineering structures fundamentally requires improved knowledge of the structure under investigation. In this framework, Kushwaha et al.68 performed terrestrial laser scanning, close-range photogrammetry, and GPR analyses (limited to the deck) to characterize three different railway bridges in India, focusing on pier/abutment structures and identifying surface and subsurface damage such as moisture, voids, rebars, cracks, asphalt layers, and deck layers. An interesting approach was also presented by Bavusi et al.69, who combined time-domain processing with microwave tomography on GPR data from the Musumeci Bridge in Potenza, enhancing visualization of reinforced decks, stiffening walls, and water infiltration zones, even with low-resolution data.
Beben et al.70 noted that there are no standards for GPR testing of reinforced concrete structures, except for some aspects of the American standards ASTM D474871 and ASTM D6432-9972 concerning thickness evaluation of road pavement and limited other information about the use of GPR.73 They highlighted that GPR is the most suitable method for bridge testing aimed at detecting elements of beam cross-sections. The authors investigated a three-span road bridge located over a railway line using a 2000 MHz antenna, reconstructing the locations of the main upper and bottom reinforcing bars, stirrups and their spacing, and an internal void in the beams. The localization of built-in reinforcement, including dowels and tie bars in jointed unreinforced concrete pavement, as well as the cover of reinforcement in bridge decks, represents crucial information for inspection analyses. With this aim, Stryk et al.74 compared measurements acquired using two different GPR systems, highlighting that the critical factor for accurate determination of layer thickness or reinforcement depth is the correct evaluation of the dielectric permittivity, determined using core drilling or common-mid-point and wide-angle-reflection-and-refraction acquisitions. The authors also proposed a technique later integrated into the technical specification of the Czech Ministry of Transport.
In the case of reinforced concrete bridges, GPR investigations are mainly employed to locate and map reinforcement bars,75 estimate deck thickness,76 and detect damage such as cracking, delamination,77 and corrosion.78 Most research has focused on bridge decks, which are critical structural components subjected to repeated loading and deterioration phenomena such as cracking, delamination, and reinforcement corrosion. In fact, the infiltration of chlorides into concrete alters its dielectric properties, providing a key indicator for GPR-based analysis.79,80 A significant contribution was presented by Rhee et al.,81 who conducted 684 GPR surveys on 601 concrete bridges. They observed a progressive decrease in the dielectric constant of asphalt-covered decks with increasing structural age, linking this trend to the influence of moisture and salinity on reinforcement corrosion.81 Although less frequently investigated, piers play a crucial structural role: Owerko et al.82 combined GPR and finite element modeling on a trapezoidal railway pier to detect deep voids and high-absorption zones, supporting minimally invasive repair strategies. GPR is often integrated with other NDT: Trela et al.75 added spectral-induced polarization to map moisture; Fauchard et al.83 combined GPR and ERT to identify delamination and transition zones between deck and abutment. Additionally, some authors showed that GPR together with acoustic testing, covermeter, and thermography improves the detection of delamination and surface damage;23,84,85 resistivity measurements and GPR confirm corrosion processes;86–88 and GPR combined with LiDAR, load testing, and ultrasonic waves contributes to the assessment load capacity and corrosion.89,90
Another interesting aspect is investigated by Rahman et al.,91 who analyzed the effects of impact damage due to inadequate vertical clearance or collisions with over-height vehicles. Their study focused on an old, impact-damaged, non-composite steel girder bridge in Dallas (USA), using GPR and Impact Echo. The deck was scanned using a cart-mounted GPR system with a single 2.6-GHz high-frequency antenna, and data were processed with the commercial software RADAN92 and GPR-SLICE.93 The information obtained from the GPR scan revealed that 79% of the deck had excessive top reinforcement cover, reducing the loading capacity of the concrete deck. Interestingly, no evidence of cracking, delamination, or voids was found, which was attributed to the resolution limitation of the GPR (unable to identify defects smaller than 6 mm). Still, Zhang et al.94 used a 2.3-GHz ground-coupled antenna with a ProEx GPR system to investigate striping defects due to moisture damage. They demonstrated that time–frequency features are effective tools for identifying moisture damage and that highest-frequency antennas are ideal for visualizing moisture damage in 10-cm-thick asphalt pavement.
Despite the heterogeneity of masonry structures, GPR is effectively adopted for gaining information about internal details of masonry bridges, which represent a not-negligible infrastructure resource, considering that the number of masonry arch railway bridges and culverts is estimated to be around 200,000 in Europe (approximately 50% of the total railway bridge stock).95,96
Masonry bridges have continuously adapted to evolving traffic needs and are often characterized by evidence of restoration and reconstruction works, as highlighted by Solla et al.,97 who studied 36 stone masonry arch bridges located in the Galician territory to obtain structural information. The goal was to support future conservation and strengthening techniques. A RAMAC (Random Access Method of Accounting and Control) GPR system with shielded antennas with central frequencies of 250 and 500 MHz was used for measurements, and data were processed by Reflex-W software. Results show the potential of the technique for revealing hidden structural details, voids, and evidence of restoration and reconstruction tasks.
Still, to preserve the state of conservation of historic bridges, it is fundamental to adopt a multidisciplinary approach based on the use of GPR and close-range photogrammetry aimed at developing a numerical analysis using the finite elements methods, as documented by Arias et al.98 The authors evaluated the stability of the bridge and its accurate geometry of the Fillaboa Bridge, a masonry monument whose first construction dates to the Roman period, with a GPR-RAMAC system coupled to 250, 500, and 800 MHz antennas. Results permitted the identification of the roughness of the internal sides of the ashlars, which allows bonding strength between the ashlars and the backing.
A similar approach was adopted by Lubowiecka et al.,99 who used GPR and laser scanning to define the structural behavior of an ancient bridge. GPR campaigns with the RAMAC system coupled to 250, 500, and 800 MHz antennas were performed at the Cernadela Bridge to support the definition of the dynamic bridge model.
Alani et al.,100 after examining the existing health monitoring and assessment methods for masonry arch bridges, present a “holistic approach” based on the cooperative use of GPR and InSAR technology for investigating a medieval bridge in England. Two GPR antenna systems were used: the E 2000-MHz multichannel double-polarized antenna system and the IDS RIS MF. Thanks to the use of GPR, the different layers of the road were defined, as well as the total depth of the bridge deck above the historic stonework. Furthermore, the structural ties were localized. InSAR measurements identified a cyclic sequence of upward and downward displacements imputable to the hydrological cycle of the river for the entire bridge structure. Biscarini et al.101 applied GPR, thermography, and drone-based photogrammetry to investigate construction phases and degradation in a Roman masonry bridge in Tivoli (Italy).
Wang et al.102,103 used GPR to reconstruct the soil stratification in the transition zone between the ballasted track and the bridges and to detect possible voids or anomalies near bridges’ abutments at the Vitån Bridge (Northern Sweden). An operating frequency of 160 MHz was used, and GPR results, compared with photogrammetric data and load tests, supported finite element analysis about the structural assessment of the bridge, monitoring the degradation state and transformation works of the structure up to the present configuration.
Perez-Gracia et al.104 used GPR, passive seismic, low-weight deflectometer, light LiDAR, UAV inspection, and numerical simulations for structural health monitoring of the Roman Comboa Bridge, evidencing highly damaged zones. A ProEx system using ground-coupled antennas of 500 and 250 MHz synchronized with a Stonex S900A GPS RTK for data-georeferencing was used. The results permitted the identification of humid and damaged areas in an arch and in two piles. For the detection of structural defects, the authors concluded that the best results are reached with the 500 MHz antenna, characterized by higher resolution.
The joint use of GPR with destructive tests is also a fundamental step, as demonstrated by Arêde et al.,105 who exploited extensive integrated investigations with GPR, dynamic probing super heavy, Menard pressuremeter testing, and flat-jack tests to estimate the mechanical properties of masonry bridges. Finally, GPR can be successfully used for verifying design plans106,107 and for forensic structural engineering purposes when it is necessary to diagnose structural defects and prepare repair solutions, as highlighted by Gondi et al.108
GPR–BRIDGE–FOUNDATION
The need to characterize the interaction between the bridge and foundation (also referred to as soil) encourages the use of GPR through the implementation of borehole radar systems. In this framework, Kim et al.109 performed borehole GPR measurements to support the detection of cavities in limestone to avoid subsidence phenomena for planned bridges in Korea. Considering the height of the bridge piers (>50 m), GPR measurements were carried out using a 20-MHz antenna for reflection analyses, and 50 and 100 MHz antennas were adopted for performing velocity tomograms between boreholes placed at a mutual distance of 25 m. ERT was also acquired to support the detection of voids and faults in the subsoil down to a depth of 60 m. Based on the results, the authors identified the most unstable piers and demonstrated the usefulness of applying borehole radar measurements, which provide information about the distribution of geological features (reflection surveys) and material properties (radar tomography).
A similar approach was reported by Wang et al.,110 who used GPR borehole imaging for characterizing geological features and evaluating rock mass quality of a limestone formation with borehole measurements collected in Tengzhou County (China) at frequencies of 50 and 250 MHz with a borehole radar system SIR20 (GSSI). Nelliat et al.111 performed borehole GPR investigations to delineate the zone of influence created by ancient mining activity at a Pb-Zn mine in Rajasthan (India). The acquisitions were performed in cross-hole transmission mode with a stepped-frequency GPR, and radar wave attenuation was the parameter investigated. Results allowed identification of zones with a lower attenuation of the signal, indicating better rock mass condition, and zones with higher attenuation characterized by poor rock mass condition and higher saline water concentration. Also, Tallini et al.112 conducted GPR measurements to investigate structural features and foundations of two buildings located in Italy, adopting monostatic antennas operating at frequencies of 1600, 600 and 100 MHz, and a bistatic 300-MHz borehole antenna. Based on the borehole data, it was possible to identify the depth of settlement of the micropiles and make assumptions about the installation/driving of the micropiles into the soil, exploiting the possibility to observe the grouting bulbs.
GPR–LANDSLIDE
GPR is widely valued for its rapid data acquisition, portability, and noncontact operation, which together enable high-resolution subsurface imaging. However, its effectiveness is strongly reduced in materials with high electrical conductivity, such as wet clays and saturated soils, where electromagnetic attenuation is enhanced.67 Consequently, GPR applications in landslide research are often limited, as landslides typically occur in conductive environments, but often superficial information can be extracted by GPR and integrated with other in situ geophysical techniques, as demonstrated by the following papers.
Despite these limitations, several applications can be found, as reported by Sass et al.,113 who applied GPR for reconstructing the Öschingen landslide in conjunction with drilling, geomorphological mapping, inclinometer data, and ERT. Data were collected with a RAMAC system equipped with 25, 50, and 100 MHz antennas to evaluate the method’s suitability for investigating limestone blocks within Jurassic sedimentary sequences of clay, marl, and limestone. Despite strong attenuation in loamy sediments and interference from surface reflections in forested terrain, GPR succeeded in resolving small-scale sedimentary structures, such as antithetic layer rotations, and in locally delineating the bedrock surface.
Also, Carpentier et al.114 integrated GPR and ERT to study the hydrogeological structure of landslides in the Urseren Valley, Switzerland. Using a PulseEKKO Pro system with 100 and 250 MHz antennas mounted on a custom sled, the survey revealed three key subsurface interfaces relevant for shallow landslide processes: a xenolithic schist horizon, a clay layer, and weathered bedrock.
Sauvin et al.115 demonstrated an integrated approach combining common-mid-point analysis and GPR profiling with both shielded and unshielded 50 MHz antennas. This technique enhanced detection of quick clays in glaciated coastal terrains and improved local geological models.116
However, GPR can be useful for long-term landslide monitoring, as reported by Lissak et al.,117 who monitored rotational landslides along the Normandy coast using a 500-MHz antenna. By tracking seasonal fissuring and road surface deformation over three decades, they quantified vertical displacements, demonstrating the suitability of the method for analyzing dynamic phenomena.
The presence of limited attenuation phenomena allows GPR to successfully investigate large landslides in Himalayan region at high resolution, generally in integration with other geophysical techniques. Indeed, Velayudham et al.118 emphasized the importance of combining GPR and ERT for landslide characterization in the Kaliasur landslide (Himalayan region). Surveys with a 100-MHz antenna across the main scarp revealed an inclined bedrock geometry responsible for slope instability and roadway disruption. In a complementary study, Li et al.119 combined ERT, passive surface wave analysis, horizontal-to-vertical spectral ratio (HVSR), and GPR to investigate the Mogangling paleo-landslide on the eastern Tibetan Plateau. Low-frequency (12.5 MHz) GPR allowed penetration to approximately 100 m depth, enabling imaging of the sliding surface and distinguishing between layered and chaotic landslide deposits.
In lithological contexts with favorable electromagnetic propagation, such as limestones, GPR yields excellent penetration and stratigraphic resolution. Colica et al.120 used GPR, ERT, and UAV photogrammetry to characterize lateral spreading and cliff retreat processes in the Maltese archipelago, successfully delineating stratigraphic boundaries and fractures.
Beyond site characterization, GPR can support landslide prediction and monitoring. Hu and Shan121 demonstrated that strong radar reflections, high-amplitude phase axes, and low-frequency signals mark active sliding surfaces in permafrost-related landslides triggered by precipitation. Similarly, Velayudham et al.118 applied GPR and ERT to detect slip surfaces at 15–19 m depth in the Himalayas, while Wang et al.102,103 validated GPR’s ability to resolve continuous interfaces between sand, clay, rock, and groundwater strata on Tanglang Mountain. Using an AKULA 9000C system with a 100-MHz antenna, they identified diagnostic signatures of subsurface contacts, including sand–rock, clay–rock, and sand–clay interfaces, as well as V-shaped erosional geometries.
Finally, Cardarelli et al.122 employed GPR, in combination with other geophysical techniques, to investigate a landslide triggered by the 1997 earthquake in the central Apennines, Italy. Using 200, 225, and 400 MHz antennas placed directly against tunnel walls, they analyzed the effects of seismic displacement. Data interpretation focused on backscatter amplitude, where higher reflections were attributed to fractured rocks, thus providing information on the location and density of discontinuities.
Collectively, these studies illustrate both the limitations and potential of GPR in landslide investigations. While performance is constrained in conductive soils, integration with complementary geophysical techniques such as ERT, HVSR, and seismic techniques enables robust characterization of landslide geometry, hydrogeology, and kinematics.
ERT Bibliometric Framing
ERT is a geophysical technique that enables the spatial mapping of the electrical resistivity distribution of the subsurface through an array of electrodes placed on the ground surface or, in the case of submerged foundations, in aquatic environments. The operating principle is based on Ohm’s law, which relates the electric current I [A] and the potential difference ΔV [V] to the resistance R [ohm] during the passage of the electric current in the subsoil. From the ERT measurements, apparent resistivity values ρa [ohm·m] are derived and then converted, through numerical inversion, into subsurface resistivity models, allowing identification of geological or structural features of interest. For a detailed description of the technique, readers are invited to consult Loke,123 Binley and Kemna,124 and Loke at al.125
A comprehensive literature search was conducted for ERT, following the approach used for GPR. The first search query was conducted in the Scopus database and was limited to English-language publications from 2000 to 2025 within the subject areas of Engineering, Earth and Planet Sciences, Environmental Science, and Multidisciplinary:
(‘ERT’) AND (‘landslide’)
Beyond the systematic Scopus search, a manual review of technical–scientific literature was undertaken to identify articles, extended abstracts, technical reports, and others not captured by the previous database query focusing on ERT–bridge, ERT–bridge–foundation, and ERT–bridge–landslide interactions. This process resulted in a dataset containing 209 publications on ERT and landslides (of which 42 employed both ERT and GPR), 27 on ERT and bridges (only 2 employed both ERT and GPR), 20 on ERT with bridges and foundations, and no publications addressing ERT, bridges, and landslides together. Each publication may cover additional techniques, bridge components, or natural hazards. The temporal distribution of these publications is presented in Fig. 8.
Figure 8. Temporal trend of the publications on ERT–landslide, ERT–bridge, ERT–bridges–foundation, and ERT–bridge–landslide
ERT – BRIDGE
ERT is generally used for the characterization of the most superficial subsoil portion devoted to sustaining engineering structures. Fauchard et al.83 used ERT in tandem with GPR and UAV photogrammetry to evaluate the structural state of a medieval stone arch bridge located in Normandy, France. In particular, ERT was used for characterizing the transition between the bridge and the riverbanks. The data, acquired according to the dipole–dipole array and inverted with the Res2DINV software,126 allowed clear distinction between man-made materials and alluvial deposits. The strong correlation of electrical resistivity variations and soil strength was exploited by Devi et al.,127 who adopted ERT and standard penetration test for characterizing the soil at a bridge site in the Uttarakhand Himalayan region. Six ERT profiles were acquired with a Syscal Junior Switch-48 multielectrode system, and data were inverted with Res2DINV software. The authors identified a generalized linear relationship for the study area between the mechanical and physical parameters, useful for supporting geotechnical investigations in regions where destructive tests are prohibitive.
ERT can be useful for identifying hydrogeological problems occurring in the surrounding areas of bridges. Karim and Tucker-Kulesza128 investigated the scour problem, which represents in the United States the first cause of bridge failure, using ERT. The objective of this study was to evaluate the applicability of ERT validated by erosion tests for prioritizing bridge scour evaluations. Results allowed identification of a threshold value of 50 ohm·m for identifying highly erodible soils and to develop a predictive model for critical shear stress using ER as the only independent variable.
However, ERT can be fundamental for structural health monitoring, as described by Serlenga et al.,129 who developed an integrated geophysical approach based on the combined use of remote and in situ techniques within the framework of natural risk in urban areas. In this case, ERT was performed in combination with extended spatial autocorrelation (ESAC) from a seismic array and horizontal-to-vertical noise spectral ratio (HVNSR) for studying the foundation soil of the Gravina Bridge on both sides of the structure. ERTs were acquired by means of the Syscal Pro Switch 48 georesistivimeter according to the Wenner array and an electrode spacing of 5 m. Results permitted identification of resistive features associated with the Calcarenites of the Gravina formation, while the conductive features were associated with the clayey-silt deposits of the Argille Sub-Apennine. HVNSR and ESAC data provided similar results, identifying a seismo-stratigraphic model in good agreement with ERT.
More recently, Jones et al.130 applied ERT to the Prebends Bridge in Durham, England, a masonry arch structure dating back to 1778. To ensure adequate electrode contact for nondestructive testing, the authors employed both medical adhesive gel pads and metal plate electrodes with electrolyte gel placed directly on the bridge surface. Data were collected using a Wenner array configuration and subsequently inverted with the pyGIMLi Python package. The results revealed zones of reduced electrical resistivity, which were interpreted as areas of increased water saturation within the masonry.
An interesting case study was proposed by He et al.,131 who adopted a multiscale and multi-sensor approach based on the joint use of nuclear magnetic resonance techniques, borehole investigations, terrestrial laser scanning, ERT, and GPR surveys for investigating embankment–bridge transition sections in a permafrost region along the Qinghai–Tibet Railway. Indeed, 17 ERT profiles acquired according to the dipole–dipole array with an electrode distance of 2–3 m, in tandem with GPR acquisitions performed at frequencies of 70 and 300 MHz, allowed the reconstruction of the distribution of permafrost and areas characterized by a high water content. These results were crucial for identifying permafrost degradation phenomena and moisture involvement, which are critical factors for bridge foundation safety.
Also, Fedin et al.132 tested the usefulness of the joint application of ERT and passive seismic standing wave technique for evaluating the technical condition of bridges and their ground foundations in a permafrost area. Two railway bridges located in the Yamal Peninsula (Russia) were investigated. ERT was adopted to analyze the subsoil beneath bridge foundations. A SKALA-48 K12 georesistivimeter coupled to 24 or 48 electrodes spaced 5 m and profile lengths of 115 or 235 m was used. Data were collected with a dipole–dipole array, and processing was carried out using the Res2DINV and Res3DINV inversion software. ERT made it possible to identify zones of thawed soils in the permafrost, while the passive seismic technique allowed the identification of areas characterized by stability loss in the bridge piers, determined by zones of abnormal vibrations.
ERT – BRIDGE – FOUNDATIONS
In engineering, ERT has proven particularly effective in foundation characterization, especially where traditional surveys are impractical. This effectiveness is primarily due to the investigation depth achievable by the technique, which can reach a few tens of meters, and its ability to investigate electrically conductive soils, unlike electromagnetic techniques that suffer from attenuation phenomena.133
The choice of the array is crucial, as it greatly influences the technique’s effectiveness, particularly in studying foundations, as highlighted by Chambers et al.134. They showed that the dipole–dipole array provides greater accuracy in defining the geometry of buried walls compared to the Wenner array, which produces more “realistic” images of buried structures. Eissa et al.135 and Eissa45 highlighted that the Wenner array was more sensitive to the bottom of the foundation, while the dipole–dipole array responded better to the upper part of the structure, reflecting different vertical and horizontal sensitivities. As expected, the Wenner array was more effective at detecting vertical variations, whereas the dipole–dipole array better distinguished horizontal variations.
An interesting approach was proposed by Arjwech et al.,136 who compared two-dimensional (2D) ERT surveys at five sites in Texas, employing steel electrodes in exposed areas and waterproof electrodes in submerged environments. They confirmed that ERT accurately reproduced the geometry and depth of large foundations but lost precision with slender piles due to current deviation. Resistivity data were collected with the SuperStingTM R8/IP multichannel imaging system (www.agiusa.com) using a linear array of 56 steel electrodes and processed with Res2DINV and Res3DINV.137,138 The authors concluded, after testing various arrays, that the dipole–dipole configuration provides the best sensitivity to lateral resistivity changes and imaging of narrow vertical structures. Based on their tests, they suggest electrode spacing of 1.0–1.5 m for imaging foundations with diameters of 1–2 m, 1.5 m for larger foundations between 2 and 3 m in diameter, and between 1.5 m and up to half the foundation diameter for foundations larger than 3 m, such as shallow spread footings.
Cardoso and Lopes139 evaluated the performance of three measurement sequences simulating different scenarios based on electrical values proposed by Arjwech et al.136 Only shallow foundations were simulated, and forward and inversion modeling were performed using ResIPy140 adding 2% noise for simulating more realistic scenarios. Using synthetic models, the authors demonstrated that the optimized sequences (modified Schlumberger and dipole–dipole configurations)141 allow reliable estimates up to 1–1.5 m depth in bridge foundation.
Hurlebaus et al.142 assessed measurable induced polarization (IP) responses of foundations and other infrastructure elements in the field and the contribution of ERT for foundation characterization. The AGI SuperSting™ R8/IP multichannel imaging system was used for data collection. Activities were performed at an ad hoc sand site at the National Geotechnical Experimentation Site, featuring both shallow and deep foundations. Results showed the potential of the techniques but also their uncertainties in terms of structure size and depth.
For evaluating structural integrity on scoured bridges in Taiwan, Wang et al.143 identified the interface between the foundation and surrounding geological materials. The success of the application was attributable to the presence of resistive soil under the foundation characterized by strongly conductive behavior. Similarly, Wang et al.144 showed that using measurement lines arranged in multiple directions (parallel and perpendicular to the bridge) allows more precise discrimination between foundations and other underground anomalies such as old piles or pipelines, thereby reducing misinterpretation risk.
Furthermore, Wang et al.144 described a multidisciplinary task force launched to develop innovative techniques for assessing unknown foundations, supported by the Federal Highway Administration, which funded a comprehensive program aimed at evaluating NDT for foundation characterization.
Underwater inspection and inaccessible foundations of civil infrastructures is a fundamental task for in situ investigation. In this context, Calcina et al.145 made a noteworthy contribution by detecting the foundations of a railway bridge crossing the artificial flood control canal of the Arno River in Italy. The simultaneous use of three-dimensional (3D) ERT and numerical modeling enabled identification of high-conductivity anomalies associated with submerged underground bridge structures.
Recent advancements in measurement configuration and data inversion algorithms have improved the accuracy and reliability of resulting images, expanding ERT applicability to complex contexts. Cross-hole ERT (CHERT) and 3D (four-dimensional [4D]) ERT have substantially expanded the potential of geoelectrical investigations, proving useful for detailed characterization of foundation soils and infrastructure condition assessment. Although currently seldom used for bridge foundations, these techniques have been successfully applied to building foundations and structural settlement problems.
Although not directly related to bridge applications, Santarato et al.39 introduced an interesting approach based on the use of 4D-ERT for monitoring resin diffusion to address settlement phenomena. Even though the research did not focus on bridge elements, this innovative ERT application demonstrates the technique’s capability for analyzing settled foundations. Data were collected with an Iris Syscal Pro resistivity meter connected to 48 electrodes spaced 1 m apart and distributed inside and outside the structure. Fully 3D inversions of apparent resistivities were performed using ERTLab3D inversion software,146 enabling analysis of subsoil electrical behavior for managing resin injection rates and evaluating material distribution.
Rizzo et al.47 adopted 3D-ERT for high-resolution characterization of geological and archaeological conditions in an urban high-value heritage site in Italy by using GPR and ERT. Still, Capozzoli et al.133 combined 3D-ERT and GPR to identify foundations in buildings affected by settlement phenomena. GPR measurements, recorded with a SIR3000 GPR system coupled to a 400-MHz antenna and processed with Reflex-W commercial software, complemented ERT collected with a Syscal Pro 48 and inverted with ERTLab3D and Res2DINV software. Co-rendered images from both techniques enabled construction of the geological model of the damaged sites. Still Capozzoli et al.43 performed CHERT to define shallow foundation structures of a laboratory reinforced concrete frame by integrating CHERT, surface ERT, and GPR acquisition at 400 MHz.
An innovative approach was presented by Fischanger et al.,147 who employed time-lapse (4D) CHERT (TL-CHERT) to assess the foundations of a historic palace in Venice affected by settlement phenomena. Due to limited space between adjacent buildings, conventional surface ERT could not probe to foundation depth. Thus, time-lapse CHERTs were used to investigate brick plinth foundations resting on wooden piles and to monitor resin injection diffusion for subsoil stabilization in a highly conductive environment. Survey challenges included elevated soil conductivity and unfavorable geometry, with inter-borehole distances exceeding borehole depths. Numerical simulations evaluated electrode configurations, including horizontal dipole–dipole (transmitters in separate boreholes, receivers likewise), vertical dipole–dipole (transmitters within one borehole, receivers in another), and pole–dipole (local transmitter in one borehole with receivers in another). Simulations showed that the horizontal dipole–dipole yielded the most reliable results. Field surveys corroborated these findings, demonstrating significant resistivity increases after resin injection attributed to saline pore water displacement.
Although limited, ERT applications for investigating masonry bridges’ foundations also showed promising results. Zhang148 examined a historic steel-truss railroad bridge constructed in 1913 in Taiwan. Their investigation targeted the characterization of bridge foundations within clayey soils using ERT in combination with seismic measurements.
ERT–LANDSLIDE
In the context of landslide monitoring, the review presented by Perrone et al.149 explores ERT as a noninvasive geophysical technique for characterizing landslide geometries. Numerous studies have established ERT as a standard technique for defining thicknesses, slip surfaces, and zones of high water content, particularly in clayey and flysch-type materials.35,150–153 Chambers et al.134,154 and Wilkinson et al.155,156 developed permanent, automated monitoring systems for repeated acquisitions, emphasizing electrode network stability and data quality.
Lapenna and Perrone157 highlight how TL-ERT enables effective monitoring of subsurface water content variations, identifying saturated zones and preferential infiltration pathways, critical factors in landslide triggering. Several studies have employed TL-ERT to monitor the hydrological response of landslides to rainfall events,158,159 while others have integrated investigations with geotechnical sensors and hydro-meteorological data.160–162
Pazzi et al.163 conducted a review study highlighting that soil landslides are the most extensively studied using geophysical techniques: out of 120 analyzed works, 66 (55%) focus on soil landslides, with 54.6% concentrated on flow-type landslides and 37.3% on slides. Only 8.1% concern slope deformations. ERT is the most used technique, present in 88% of 2D cases and only 6% in 3D. Rock landslides, on the other hand, are less represented (54 out of 120), with the majority (54.6%) consisting of rockfalls, followed by slides (24%) and other minor types. Geophysics is often integrated with traditional methods (64.8% of cases) to overcome operational difficulties and the poor geophysical differentiation between rock and substrate. Passive seismic techniques help characterize deformations and identify microearthquakes, improving the monitoring of complex landslides such as avalanches and topple failures.
Research Gap and Future Trends
This review has identified some of the most relevant research papers addressing the analysis of bridge structures and degradation phenomena that affect the safety of critical infrastructure, with a focus on GPR and ERT. As discussed, these two techniques are valuable tools for analyzing engineering issues, but they have some limitations that affect their effectiveness. The main advantages, limitations, and research gaps of GPR and ERT for bridges, bridge foundations, landslides, and bridge–landslide interactions are summarized in Table 6.
| Technique | Topic | Advantages | Limitations | Research gaps |
|---|---|---|---|---|
| GPR | Bridge superstructure | - Nondestructive and high spatial resolution- Effective in detecting structural elements (deck, reinforcement), cracks, moisture ingress, among others- Low cost and fast executable survey- High resolution and optimal depth of investigation | - Lower signal quality and higher noise sensitivity in contactless configuration;- Can require expert operation and complex data processing;- Difficulty detecting microdefects | - Guidelines for a suitable use of contactless GPR for systematic characterization of superstructure element- UAV–GPR system in early development |
| Bridge foundations | - Nondestructive and high-resolution detection of foundation features- Low cost and fast executable survey- High resolution if compared with other NDT | - Complex and time-consuming data processing- Challenges with nonconventional acquisition techniques (e.g., cross-hole, in-hole);- Signal attenuation and limited deep penetration in heterogeneous and conductive materials and rocks- Requires specialized expertise for acquisition, processing, and interpretation | - Limited scientific articles on borehole or deep foundation investigation- Application protocols to bridge foundations not established | |
| Landslides | - Effective mapping of shallow subsurface- Nondestructive, low cost, and fast executable survey- High resolution | - Strong signal attenuation in conductive or clay-rich subsoil- Limitation in investigation depth | - For landslide characterization and monitoring | |
| Bridge–landslide interactions | - Good potential to study bridge–landslide interactions | - Challenges integrating GPR with other techniques- No established protocols | - No bibliographic studies found addressing bridge–landslide interaction with GPR | |
| ERT | Bridge superstructure | - Capable of detecting anomalies related to deterioration- High depth of investigation | - Limited resolution- Logistic limitations due to the contact resistances | - Limited literature on bridge superstructure (mainly used to investigate the subsoil intended for the support of bridges)- Integration with other NDT requires standardization |
| Bridge foundations | - Ability to characterize moisture migration and foundation integrity over larger volumes;- Adaptable array configurations- High depth of investigation- Scalable resolution | - Difficulty in resolving a single thin element (i.e., pile)- Inverse problem smoothing may mask small features- Challenges with nonconventional arrays and acquisition techniques such as cross-hole, in-hole, among others- Site-dependency | - Few focused studies on detection of bridge foundation- Application protocols to bridge foundations not established | |
| Landslides | - Established technique for hydrogeological and slope stability studies- Temporal monitoring via 3D/4D arrays- High depth of investigation | - Complex resistivity models required- Heterogeneity complicates interpretation | - Scarce use of nonconventional arrays for systematic characterization and monitoring of landslides- Application protocols to landslides not established | |
| Bridge–landslide interactions | - Potential to study bridge–landslide interactions- High depth of investigation | - Challenges integrating ERT with other techniques- No established protocols | - No bibliographic studies found addressing bridge–landslide interaction with ERT |
In the case of ERT, spatial resolution is influenced by the adopted electrode spacing: too-wide spacing can cause slender elements such as piles or beams to be “bypassed,” making them difficult to detect in resistivity models. Moreover, increasing electrode spacing to reach greater depths reduces lateral resolution, complicating interpretation in stratified or heterogeneous subsurface without complementary data. Additionally, electrical noise and environmental vibrations further degrade signal quality. The choice of electrode array and inversion algorithms is also critical, as different configurations balance sensitivity to detail and data robustness differently.126,134,135,164
Regarding GPR, antenna frequency determines a trade-off between penetration depth and resolution: high-frequency antennas provide precise details but limited penetration (up to about 1 m), while low-frequency antennas penetrate deeper at the cost of image quality.40,165 Furthermore, highly conductive soils, such as moist clays or saline substrates, significantly reduce radar signal quality, compromising the identification of important reflections.81 Moreover, 3D surveys also require high spatial sampling density and lengthy acquisition times, which are not always feasible in urban settings or large areas.81 Finally, post-processing is complex and requires specialized expertise to avoid artifacts that could compromise interpretation.166
The findings of the bibliometric analysis have highlighted several research gaps, which are briefly summarized below.
The use of GPR for the characterization of bridge structural elements is often non-systematic, and its contribution is in many cases marginal and primarily qualitative. This is partly due to limitations related to signal attenuation in reinforced concrete and heterogeneous materials. However, recent technological advances, such as multichannel array antennae and broader bandwidth systems, offer new opportunities for improving resolution, enabling a more reliable identification of structural elements and degradation phenomena (e.g., cracking, delamination, and moisture ingress).
Borehole GPR acquisitions represent another underexplored frontier. While most studies employing this configuration have been applied to geological investigations, their extension to structural engineering could provide valuable insights into deep or inaccessible bridge elements such as piles and foundations.
The integration of GPR with UAV-based inspection systems remains limited, with current UAV applications focusing on photogrammetry. Nevertheless, recent innovations in antenna positioning via GPS and advanced tracking methods based on simultaneous localization and mapping are opening new possibilities for UAV-mounted GPR. This approach is particularly promising in environments where satellite signals are unavailable, such as tunnels or underpasses.
The application of ERT to bridge engineering is still relatively limited, primarily due to the modest resolution achievable in complex structural contexts. Nonetheless, the reviewed literature demonstrates the capability of ERT to detect electrical anomalies associated with foundation structures and subsurface conditions that affect their stability. Opportunities for further development of ERT in structural diagnostics are twofold: the use of 3D and even 4D array configurations to capture temporal changes in resistivity, the refinement of pole–dipole and dipole–dipole arrays for near-surface investigations, the development of cross-hole tomography techniques, ideally combined with surface acquisitions, to improve both resolution and depth coverage.
To achieve these advancements, it is essential to systematically assess the limitations and potential of GPR and ERT through numerical simulations. Such modeling should aim to characterize the electromagnetic and resistivity responses of structural elements under varying degradation and loading scenarios. This approach would allow researchers to define optimal acquisition strategies, improve interpretation accuracy, and tailor techniques to specific structural and environmental contexts.
Finally, integration with complementary techniques (e.g., photogrammetry, infrared thermography, acoustic techniques, and mechanical testing) is fundamental not only for the reliable identification and monitoring of structural degradation and hydrogeological processes but also for generating data that can improve predictive models of the mechanical behavior and long-term performance of bridge structures.
Conclusions
Bridge resilience is increasingly threatened by aging, environmental factors, and natural hazards, with landslides representing a widespread yet underexplored threat that causes progressive damage and serviceability reduction rather than collapse. This work, developed within the EMILI research project funded by the FABRE Consortium, provides a systematic review of scientific literature from 2000 to 2025 on the application of NDT for assessing bridge foundations and bridge–landslide interactions. This review focuses particularly on GPR and ERT to address critical knowledge gaps.
Despite the widespread use of GPR in the structural characterization and health monitoring of bridges, particularly for the assessment of decks, pavements, and superficial elements, applications targeting bridge foundations remain relatively scarce in scientific literature. This underrepresentation is significant, considering the critical role that foundations play in the overall structural stability, especially in response to erosion phenomena, differential settlement, and load redistribution. This gap can be attributed to several factors: the inherent difficulty in accessing deep or submerged foundation elements; the frequent presence of subsoil materials with high electrical conductivity, such as silts or clays, which greatly attenuate the radar signal and limit both penetration depth and resolution; and the often-low dielectric contrast between foundation structures and the surrounding ground, which further hinders accurate data interpretation.
Although ERT is widely used in geotechnical applications and landslide monitoring, its specific use for the investigation of bridge foundations remains limited. However, given the advances in data acquisition and inversion techniques, ERT still holds significant potential in this field, highlighting the need for further studies and applications to fully exploit its capabilities.
The combined use of ERT and GPR overcomes many of the individual shortcomings due to their complementarity. GPR provides high-resolution images of shallow layers, while ERT investigates deeper volumes by adjusting electrode spacing. This synergy reduces interpretative ambiguities. For example, a resistivity anomaly that corresponds to a radar reflection significantly increases the likelihood of identifying man-made structures. Cross-validation of anomalies enhances reliability by minimizing false positives or negatives.83,166
However, it should be noted that there is currently no standardized operational protocol detailing the specific steps to follow for the integrated application of these techniques. The development of guidelines is essential to standardize procedures, improve result reliability, and facilitate the adoption of this multi-method approach in the engineering field.
References
Progettazione E Costruzione Di Ponti. Masson; 1997.
Causes and statistical characteristics of bridge failures: a review. J Traffic Transp Eng Engl Ed. 2022;9(3):388-406. doi:10.1016/j.jtte.2021.12.003
Lessons learnt from bridge collapse: a view of sustainable management. Sustainability. 2020;12(3). doi:10.3390/su12031205
State-of-the-art review on the causes and mechanisms of bridge collapse. J Perform Construct Facil. 2016;30(2). doi:10.1061/(ASCE)CF.1943-5509.0000731
Monitoring and evaluation of bridges: lessons from the Polcevera Viaduct collapse in Italy. J Civ Struct Health Monit. 2020;10(2):177-182. doi:10.1007/s13349-020-00384-6
History of bridges: materials and structural types of a monument to progress. Int J Bridge Eng Manag Res (IJBEMR). 2025;2(4). doi:10.70465/ber.v2i4.48
Pre-collapse space geodetic observations of critical infrastructure: the Morandi bridge. Remote Sens. 2019;11(12). doi:10.3390/rs11121403
Collapse analysis of the multi-span reinforced concrete arch bridge of Caprigliola. Eng Struct. 2022;251(2). doi:10.1016/j.engstruct.2021.113375
Bridge collapses in Italy across the 21st century: survey and statistical analysis. Struct Infrastruct Eng. Published online 2025:1-23. doi:10.1080/15732479.2025.2483500
Advancing landslide knowledge and dissemination in Italy through IdroGEO 2.0 web platform. Landslide. 2025;23(2):477-487. doi:10.1007/s10346-025-02592-x
On the use and effectiveness of the Italian Landslide Hazard Map for the assessment of the Landslide Class of Attention according to the Italian Guidelines for classifying the risk of existing bridges. Procedia Struct Integ. 2024;62:569-575. doi:10.1016/j.prostr.2024.09.080
Landslide-bridge interaction: insights from an extensive database of Italian case studies. Int J Disaster Risk Reduct. 2024;114(6). doi:10.1016/j.ijdrr.2024.104983
Overheight impact on bridges: a computational case study of the Skagit River bridge collapse. Eng Struct. 2021;237(3). doi:10.1016/j.engstruct.2021.112215
Bridge failure rate. J Perform Construct Facil. 2015;29(3). doi:10.1061/(ASCE)CF.1943-5509.0000571
Investigation of common causes of bridge collapse in Colombia. Pract Period Struct Des Constr. 2009;14(4):194-200. doi:10.1061/(ASCE)SC.1943-5576.0000006
Bridge life-cycle performance and cost: analysis, prediction, optimisation and decision-making. Struct Infrastruct Eng. 2017;13:1239-1257. doi:10.1201/9781351182805-4
A Study of US Bridge Failures (1980–2012). MCEER; 2013.
Linee Guida Per La Classificazione E Gestione Del Rischio, La Valutazione Della Sicurezza Ed Il Monitoraggio Dei Ponti Esistenti. Ministero delle Infrastrutture e dei Trasporti; 2022.
Linee Guida Per La Classificazione E Gestione Del Rischio, La Valutazione Della Sicurezza Ed Il Monitoraggio Dei Ponti Esistenti. Ministero delle Infrastrutture e dei Trasporti; 2020.
Application of Italian Guidelines for structural-foundational and seismic risk classification of bridges: the Fabre experience on a large bridge inventory. Procedia Struct Integ. 2024;62:1-8. doi:10.1016/j.prostr.2024.09.009
Index of attention for a simplified condition assessment and classification of bridges. Infrastructures. 2024;9(8). doi:10.3390/infrastructures9080125
Bridge Maintenance, Safety, Management, Digitalization and Sustainability. CRC Press; 2024. doi:10.1201/9781003483755-314
Condition monitoring of bridges with non-contact testing technologies. Automat Construct. 2020;116(1). doi:10.1016/j.autcon.2020.103224
Review of NDT methods in the assessment of concrete and masonry structures. NDT E Int. 2001;34(2):71-84. doi:10.1016/S0963-8695(00)00032-3
Advances in Transportation Geotechnics IV. Lecture Notes in Civil Engineering. Springer International Publishing; 2022.
Sinkhole detection, landslide and bridge monitoring for transportation infrastructure by automated analysis of interferometric synthetic aperture radar imagery. Published online 2015.
Bridge monitoring with satellite InSAR technology and clustering algorithm. Measurement. 2025;258(A). doi:10.1016/j.measurement.2025.118939
Integration of UAV-lidar and UAV-photogrammetry for infrastructure monitoring and bridge assessment. Int Arch Photogramm Remote Sens Spatial Inf Sci. 2022;XLIII-B2-2022:995-1002. doi:10.5194/isprs-archives-XLIII-B2-2022-995-2022
The use of earth observation data for railway infrastructure monitoring-a review. Infrastructures. 2025;10(3). doi:10.3390/infrastructures10030066
UAS-based methodology to create digital models of bridges and viaducts. Procedia Struct Integ. 2024;62:755-762. doi:10.1016/j.prostr.2024.09.103
Defect detection around rebars in concrete using focused ultrasound and reverse time migration. Ultrasonics. 2015;62(10):112-125. doi:10.1016/j.ultras.2015.05.008
Advanced calibration of a 3D masonry arch bridge model using NDT and numerical optimisation. Construct Build Mat. 2024;438(5). doi:10.1016/j.conbuildmat.2024.137131
Comparison of pulse-echo tomography and through-transmission ultrasonic test for UPV characterization of building materials. Infrastructures. 2025;10(7). doi:10.3390/infrastructures10070162
Application research on high-precision tiltmeter with rapid deployment capability. Sensors. 2025;25(5). doi:10.3390/s25051559
Comparison of geological and geophysical prospecting techniques in the study of a landslide in southern Italy. Eur J Environ Eng Geophy. 2000;4:117-128. doi:10.3997/2214-4609.201406474
Design and construction of large diameter drilled shafts in karst—a case history. Geotech Front. Published online 2025:174-189. doi:10.1061/9780784485972.018
Combined NDT techniques in civil engineering applications: laboratory and real test. Construct Build Mat. 2017;154(8):1139-1150. doi:10.1016/j.conbuildmat.2017.07.147
Effect of water and chloride contents and carbonation on the electromagnetic characterization of concretes on the GPR frequency band through designs of experiment. NDT E Int. 2017;92(1):187-198. doi:10.1016/j.ndteint.2017.09.001
Three-dimensional ERT to control the injection of expanding resins for the treatment and stabilization of foundation soils. Eng Geol. 2011;119(1–2):18-30. doi:10.1016/j.enggeo.2011.01.009
Civil Engineering Applications of Ground Penetrating Radar. Springer Transactions in Civil and Environmental Engineering. Springer International Publishing; 2015.
Sensitivity and accuracy in rebar diameter measurements from dual-polarized GPR data. Construct Build Mat. 2013;48:1293-1301. doi:10.1016/j.conbuildmat.2013.05.009
Very-high-resolution electrical resistivity imaging of buried foundations of a Roman villa near Nonnweiler, Germany. Archaeol Prospect. 2018;25(3):209-218. doi:10.1002/arp.1703
Multi-sensors geophysical monitoring for reinforced concrete engineering structures: a laboratory test. Sensors. 2021;21(16). doi:10.3390/s21165565
The impact of very slow moving gravitative slope deformations on infrastructures: the case study of the bridge of Ginosa. Ital J Eng Geol Environ. 2023;1(2023_S). doi:10.4408/IJEGE.2023-01.S-05
Identification of different shallow foundations using 3D electrical resistivity modeling. Iraqi Geol J. 2022;55(2B):111-120. doi:10.46717/igj.55.2B.10Ms-2022-08-26
Characterization of the bridge pillar foundations using 3D focusing inversion of DC resistivity data. J Appl Geophys. 2020;172(1). doi:10.1016/j.jappgeo.2019.103875
Urban geophysical approach to characterize the subsoil of the main square in San Benedetto del Tronto town (Italy). Eng Geol. 2019;257(2). doi:10.1016/j.enggeo.2019.05.010
Proceeding of the Indian Geotechnical Conference Vol. 1, Lecture Notes in Civil Engineering. Springer Nature Singapore; 2024. doi:10.1007/978-981-97-1737-8_38
Proceeding of the Indian Geotechnical Conference 2022 Vol. 1, Lecture Notes in Civil Engineering. Springer Nature Singapore; 2024. doi:10.1007/978-981-97-1737-8_37
State-of-the-art application and challenges of optical fibre distributed acoustic sensing in civil engineering. Opt Fiber Technol. 2024;87(7). doi:10.1016/j.yofte.2024.103911
Miniaturizing controlled-source EM transmitters for urban underground surveys: a bipolar square-wave inverter approach with SiC-MOSFETs. Sensors. 2025;25(13). doi:10.3390/s25134183
Turkish historical arch bridges and their deteriorations and failures. Eng Failure Anal. 2008;15(1–2):43-53. doi:10.1016/j.engfailanal.2007.01.006
Le strade, ponti e opere di sostegno in Francia nel 2021. Fabre Con–Exist Bridg Viaducts Tunn Res Innov Appl.
Opere d’Arte. ANSFISA–Agenzia Nazionale per la Sicurezza delle Ferrovie e delle Infrastrutture Stradali e Autostradali. Published online 2025.
Il controllo e la valutazione della sicurezza dei ponti esistenti–prima parte.
A method for structural monitoring of multispan bridges using satellite InSAR data with uncertainty quantification and its pre-collapse application to the Albiano-Magra Bridge in Italy. Struct Health Monitor. 2023;22(1):353-371. doi:10.1177/14759217221083609
Effects of very slow landslides on civil infrastructures: the case study of Alvaro tunnel deformations and Ischia del Basento bridge failure. Fabre Con–Exist Bridg Viaducts Tunn Res Innov Appl. FABRE24.
Structural monitoring of ‘Himera’ viaduct by low-cost MEMS sensors: characterization and preliminary results. Meccanica. 2017;52(13):3221-3236. doi:10.1007/s11012-017-0691-4
DinSAR monitoring of the landslide activity affecting a stretch of motorway in the Campania region of Southern Italy. Transp Res Procedia. 2020;45:285-292. doi:10.1016/j.trpro.2020.03.018
Environmental geology applied to geoconservation in the interaction between geosites and linear infrastructures in South-Eastern Italy. Geoheritage. 2015;7(1):33-46. doi:10.1007/s12371-015-0145-0
Movimenti di massa pseudo-tettonici nell’Appennino dell’Italia Meridionale. Geol. Appl. e Idrogeol. 1981;XVI:251-293.
Istruzioni Operative Per L’applicazione Delle Linee Guida Per La Classificazione E Gestione Del Rischio, La Valutazione Della Sicurezza Ed Il Monitoraggio Dei Ponti Esistenti. ANSFISA (Agenzia Nazionale per la Sicurezza delle Ferrovie e delle Infrastrutture Stradali e Autostradali)
TU1406 COST Action: Quality Specifications for Roadway Bridges, Standardization at a European: Wg3-Technical: Establishment of a Quality Control Plan. Boutik; 2018.
Maintenance and repair of transport infrastructure. Published online 2012.
Scopus Content Coverage Guide. Elsevier B.V.; 2019.
Why and how to merge Scopus and Web of Science during bibliometric analysis: the case of sales force literature from 1912 to 2019. J Market Analyt. 2020;8(3):165-184. doi:10.1057/s41270-020-00081-9
GPR. IEE Radar, Sonar, Navigation, and Avionics Series. Institution of Electrical Engineers; 2007.
Analysis and integration of surface and subsurface information of different bridges. J Indian Soc Remote Sens. 2020;48(2):315-331. doi:10.1007/s12524-019-01087-2
GPR and microwave tomography 3D applications for the deck evaluation of the Musmeci bridge in Potenza, Italy. J Geophy Eng. 2011;8(3):S33-S46. doi:10.1088/1742-2132/8/3/S04
Identification of viaduct beam parameters using the Ground Penetrating Radar (GPR) technique. NDT E Int. 2012;49(2):18-26. doi:10.1016/j.ndteint.2012.03.001
ASTM D4748-06: Standard Test Method for Determining the Thickness of Bound Pavement Layers Using Short-Pulse Radar. ASTM International; 2006.
ASTM D6432-99: Standard Guide for Using the Surface Ground Penetrating Radar Method for Subsurface Investigation. ASTM International; 2005.
Merkblatt B 10: Merkblatt über das Radarverfahren zur Zerstörungsfreien Prüfung im Bauwesen [Instruction Leaflet About the Radar Method for Non-Destructive Testing in Civil Engineering].
Comparative measurements of GPRs used for road and bridge diagnostics in the Czech Republic and France. Construct Build Mat. 2017;154:1199-1206. doi:10.1016/j.conbuildmat.2017.06.134
High Performance Structures and Materials IV. WIT Press; 2008.
A review of GPR application in civil engineering: a 30-year journey from locating and testing to imaging and diagnosis. NDT E Int. 2018;96:58-78. doi:10.1016/j.ndteint.2017.04.002
Factors affecting the detectability of concrete delamination in GPR images. Construct Build Mat. 2021;274(3). doi:10.1016/j.conbuildmat.2020.121837
Reliability analysis of ground-penetrating radar for the detection of subsurface delamination. J Bridge Eng. 2018;23(2). doi:10.1061/(ASCE)BE.1943-5592.0001182
Review of GPR applications for bridge infrastructures. NDT. 2024;2(1):53-75. doi:10.3390/ndt2010004
Monitoring of reinforced concrete degradation phenomena by GPR and other NDTs: a laboratory test. :1-5.
A practical approach to condition assessment of asphalt-covered concrete bridge decks on Korean Expressways by dielectric constant measurements using air-coupled GPR. Sensors. 2020;20(9). doi:10.3390/s20092497
Identification of concrete voids in an untypical railway bridge pillar by GPR Method. Measur Automat Monit. 2015;61(3):76-80.
Assessment of an ancient bridge combining geophysical and advanced photogrammetric methods: application to the Pont De Coq, France. J Appl Geophys. 2013;98(W16):100-112. doi:10.1016/j.jappgeo.2013.08.009
Applicability of GPR and a rebar detector to obtain rebar information of existing concrete structures. Case Stud Construct Mat. 2019;11. doi:10.1016/j.cscm.2019.e00240
Nondestructive evaluation of concrete bridge decks with automated acoustic scanning system and GPR. Sensors. 2018;18(6). doi:10.3390/s18061955
Corrosiveness mapping of bridge decks using image-based analysis of GPR data. Automat Construct. 2017;80(2):104-117. doi:10.1016/j.autcon.2017.03.004
Improved concrete bridge deck evaluation using GPR by accounting for signal depth-amplitude effects. NDT E Int. 2008;41(6):427-433. doi:10.1016/j.ndteint.2008.03.005
Automated visualization of concrete bridge deck condition from GPR data. NDT E Int. 2019;102(1):120-128. doi:10.1016/j.ndteint.2018.11.015
Load testing and GPR assessment for concrete bridges on military installations. Construct Build Mat. 2013;38(4):1255-1269. doi:10.1016/j.conbuildmat.2010.09.044
An attempt to describe a relationship between concrete deterioration quantities and bridge deck condition assessment techniques. J Appl Geophys. 2017;142(2):38-48. doi:10.1016/j.jappgeo.2017.05.009
Evaluation and load rating of an aging and impact damaged steel girder bridge: case study. Innovat Infrastruct Solut. 2024;9(12). doi:10.1007/s41062-024-01770-5
Geophys Survey Systems. Published online 2017.
GPR-Slice: Ground Penetrating Radar Imaging Software, [Software].
In-situ recognition of moisture damage in bridge deck asphalt pavement with time-frequency features of GPR signal. Construct Build Mat. 2020;244(6). doi:10.1016/j.conbuildmat.2020.118295
UIC Project on assessment, inspection and maintenance of masonry arch railway bridges. Published online 2007:3-12.
A comprehensive survey of masonry bridge assessment methods: past to present. Innovat Infrastruct Solut. 2024;9(6). doi:10.1007/s41062-024-01535-0
Ground-penetrating radar for the structural evaluation of masonry bridges: results and interpretational tools. Construct Build Mat. 2012;29:458-465. doi:10.1016/j.conbuildmat.2011.10.001
Digital photogrammetry, GPR and computational analysis of structural damages in a mediaeval bridge. Eng Failure Anal. 2007;14(8):1444-1457. doi:10.1016/j.engfailanal.2007.02.001
Historic bridge modelling using laser scanning, GPR and finite element methods in the context of structural dynamics. Eng Struct. 2009;31(11):2667-2676. doi:10.1016/j.engstruct.2009.06.018
An integrated investigative approach in health monitoring of masonry arch bridges using GPR and InSAR technologies. NDT E Int. 2020;115(2). doi:10.1016/j.ndteint.2020.102288
UAV photogrammetry, infrared thermography and GPR for enhancing structural and material degradation evaluation of the Roman masonry bridge of Ponte Lucano in Italy. NDT E Int. 2020;115(2). doi:10.1016/j.ndteint.2020.102287
Bridge Maintenance, Safety, Management, Digitalization and Sustainability. CRC Press; 2024. doi:10.1201/9781003483755-43
Identification of complex slope subsurface strata using ground-penetrating radar. Remote Sens. 2024;16(2). doi:10.3390/rs16020415
Combining GPR, passive seismic, and load testing with computational models in the assessment of historical bridges: the case study of the Comboa bridge. Struct Control Health Monit (Ł. Jankowski, ed.). 2025;2025(1). doi:10.1155/stc/5309473
Experimental characterization of the mechanical behaviour of components and materials of stone masonry railway bridges. Construct Build Mat. 2017;153(5):663-681. doi:10.1016/j.conbuildmat.2017.07.069
Application of radar techniques to the verification of design plans and the detection of defects in concrete bridges. Struct Infrastruct Eng. 2010;6(4):395-407. doi:10.1080/15732470701778506
Combined GPR and self-potential techniques for monitoring steel rebar corrosion in reinforced concrete structures: a laboratory study. Remote Sens. 2023;15(8). doi:10.3390/rs15082206
Using ground penetrating radar techniques in forensic structural engineering. J Nat Acad Foren Eng. 2025;42(1):67-75. doi:10.51501/jotnafe.v42i1
Borehole radar survey to explore limestone cavities for the construction of a highway bridge. Exploratn Geophy. 2004;35(1):80-87. doi:10.1071/EG04080
Integrated Application of Borehole Gpr and Borehole Imaging for Geological Survey. Canadian Geotechnical Society; 2009.
Borehole GPR investigations from underground for mapping the extension of old working at a Pb-Zn Mine in Rajasthan, India. Published online 2016.
GPR survey for investigation in building foundations. 2004;1:395-397.
Comparison of GPR, 2D-resistivity and traditional techniques for the subsurface exploration of the Öschingen landslide, Swabian Alb (Germany). Geomorphology. 2008;93(1–2):89-103. doi:10.1016/j.geomorph.2006.12.019
Geophysical imaging of shallow subsurface topography and its implication for shallow landslide susceptibility in the Urseren Valley, Switzerland. J Appl Geophys. 2012;83(4):46-56. doi:10.1016/j.jappgeo.2012.05.001
On the integrated use of geophysics for quick-clay mapping: The Hvittingfoss case study, Norway. J Appl Geoph. 2014;106(3):1-13. doi:10.1016/j.jappgeo.2014.04.001
Near-Surface Geophysics. SEG Books; 2005. doi:10.1190/1.9781560801719.ch11
Ground-penetrating radar observations for estimating the vertical displacement of rotational landslides. Nat Hazards Earth Syst Sci. 2015;15(6):1399-1406. doi:10.5194/nhess-15-1399-2015
Comprehensive study on evaluation of Kaliasaur Landslide attributes in Garhwal Himalaya by the execution of geospatial, geotechnical and geophysical methods. Quat Sci Adv. 2021;3(5). doi:10.1016/j.qsa.2021.100025
Multi-stage sliding of the giant Mogangling paleo-landslide on the East Margin of the Tibetan Plateau revealed by integrated engineering geophysical methods. Landslides. 2025;22(9):3117-3132. doi:10.1007/s10346-025-02527-6
Evaluating characteristics of an active coastal spreading area combining geophysical data with satellite, aerial, and unmanned aerial vehicles images. Remote Sens. 2023;15(5). doi:10.3390/rs15051465
Landslide investigations in the northwest section of the lesser Khingan range in China using combined HDR and GPR methods. Bull Eng Geol Environ. 2016;75(2):591-603. doi:10.1007/s10064-015-0805-y
Evaluation of tunnel stability using integrated geophysical methods. J Appl Geophys. 2003;52(2-3):93-102. doi:10.1016/S0926-9851(02)00242-2
Electrical imaging surveys for environmental and engineering studies: a practical guide to 2-D and 3-D surveys [Technical report]. GeoElectrical. Published online 1999.
Hydrogeophysics, Water Science and Technology Library. Springer Netherlands; 2005. doi:10.1007/1-4020-3102-5_5
Recent developments in the direct-current geoelectrical imaging method. J Appl Geophys. 2013;95(4):135-156. doi:10.1016/j.jappgeo.2013.02.017
Geotomo Software; 2010.
Subsurface soil characterization using geoelectrical and geotechnical investigations at a bridge site in Uttarakhand Himalayan region. J Appl Geophys. 2017;144(2):78-85. doi:10.1016/j.jappgeo.2017.07.005
Predicting soil erodibility using electrical resistivity tomography. J Geotech Geoenviron Engg. 2018;144(4). doi:10.1061/(asce)gt.1943-5606.0001857
An integrated approach for structural behavior characterization of the Gravina Bridge (Matera, Southern Italy). Struct Health Monitor. 2021;20(6):3371-3391. doi:10.1177/1475921720987544
ERT of a masonry bridge: assessing water infiltration on Prebends Bridge, Durham, UK. J Architect Conservat. 2024;30:149-168. doi:10.1080/13556207.2024.2357501
Assessment of diseases in embankment-bridge transition section with methodological detection along the Qinghai-Tibet railway in permafrost regions. Permafr Periglac Process. 2025;36(3):345-362. doi:10.1002/ppp.2267
Assessment of the technical condition of bridges and their ground foundations using the ERT and the passive seismic standing wave method. J Appl Geophys. 2023;217(2). doi:10.1016/j.jappgeo.2023.105188
Geophysical techniques for monitoring settlement phenomena occurring in reinforced concrete buildings. Surv Geophy. 2019;41(3):575-604. doi:10.1007/s10712-019-09554-8
D electrical imaging of known targets at a controlled environmental test site. Environ Geol. 2002;41(6):690-704. doi:10.1007/s00254-001-0452-4
ERT array comparisons to detect cleared-wall foundations in brownfield sites. Quart J Eng Geol Hydrogeol. 2020;53(1):137-144. doi:10.1144/qjegh2018-192
Electrical resistivity imaging of unknown bridge foundations. Surf Geophys. 2013;11(6):591-598. doi:10.3997/1873-0604.2013023
Stochastic inversion of 3D ERT data. Published online 1998:221-228.
Practical techniques for 3D resistivity surveys and data inversion1. Geophys Prospect. 1996;44(3):499-523. doi:10.1111/j.1365-2478.1996.tb00162.x
ERT feasibility study to assess unknown bridge foundation depth. J Bridge Eng. 2022;27(7). doi:10.1061/(ASCE)BE.1943-5592.0001894
ResIPy, an intuitive open source software for complex geoelectrical inversion/modeling. Computat Geosci. 2020;137. doi:10.1016/j.cageo.2020.104423
Optimized arrays for 2-D resistivity survey lines with a large number of electrodes. J Appl Geophys. 2015;112:136-146. doi:10.1016/j.jappgeo.2014.11.011
Sustainability of bridge foundations using electrical resistivity imaging and induced polarization to support transportation safety. Published online 2014.
Depth inspection on scoured bridges without foundation information. Published online 2016:493-498.
Advances in Transportation Geotechnics IV. Lecture Notes in Civil Engineering. Springer International Publishing; 2022.
D electrical resistivity tomography: a diagnostic tool for the inspection of submerged foundations of civil infrastructures. Published online 2021:225-233.
Finite element three-dimensional direct current resistivity modelling: accuracy and efficiency considerations. Geophy J Int. 2001;145(3):679-688. doi:10.1046/j.0956-540x.2001.01412.x
D cross-borehole ERTto control resin injection for ground stabilization: a case history in Venice (Italy). Surf Geophys. 2013;11(1):41-50. doi:10.3997/1873-0604.2012056
Proceedings of the 11th European Conference on Non-Destructive Testing (ECNDT 2014). European Federation for Non-Destructive Testing (EFNDT); 2014.
ERTtechnique for landslide investigation: a review. Earth-Sci Rev. 2014;135(3):65-82. doi:10.1016/j.earscirev.2014.04.002
D electrical resistivity imaging of some complex landslides in Lucanian Apennine chain, southern Italy. Geophysics. 2005;70(3):B11-B18. doi:10.1190/1.1926571
High-resolution geoelectrical tomographies in the study of Giarrossa landslide (southern Italy). Bullet Eng Geol Environ. 2003;62(3):259-268. doi:10.1007/s10064-002-0184-z
High-resolution electrical imaging of the Varco d’Izzo earthflow (southern Italy). J Appl Geophys. 2004;56(1):17-29. doi:10.1016/j.jappgeo.2004.03.004
D electrical resistivity tomographies for investigating recent activation landslides in Basilicata Region (Southern Italy). Ann Geophys. 2008;51(1):275-285.
Three-dimensional geophysical anatomy of an active landslide in Lias Group mudrocks, Cleveland Basin, UK. Geomorphol. 2011;125(4):472-484. doi:10.1016/j.geomorph.2010.09.017
Predicting the movements of permanently installed electrodes on an active landslide using time-lapse geoelectrical resistivity data only: electrode movements from resistivity data. Geophy J Int. 2010;183(2):543-556. doi:10.1111/j.1365-246X.2010.04760.x
Long-term time-lapse geoelectrical monitoring. First Break. 2011;29(8):77-84. doi:10.3997/1365-2397.29.8.52134
Time-Lapse ERT(TL-ERT) for landslide monitoring: recent advances and future directions. Appl Sci. 2022;12(3). doi:10.3390/app12031425
Rapid observations to guide the design of systems for long-term monitoring of a complex landslide in the Upper Lias clays of North Yorkshire, UK. Quart J Eng Geol Hydrogeol. 2013;46(3):323-336. doi:10.1144/qjegh2011-028
A linked geomorphological and geophysical modelling methodology applied to an active landslide. Landslides. 2021;18(8):2689-2704. doi:10.1007/s10346-021-01666-w
Permanent electrical resistivity measurements for monitoring water circulation in clayey landslides. J Appl Geophys. 2016;126:98-115. doi:10.1016/j.jappgeo.2016.01.011
A prototype system for time-lapse electrical resistivity tomographies. Int J Geophy. 2012;2012(3):1-12. doi:10.1155/2012/176895
Landslide monitoring in southwestern China via time-lapse electrical resistivity tomography. Appl Geophys. 2016;13(1):1-12. doi:10.1007/s11770-016-0543-3
A review of the advantages and limitations of geophysical investigations in landslide studies. Int J Geophy. 2019;2019(4):1-27. doi:10.1155/2019/2983087
D numerical modelling of electrical resistivity tomography to optimise detection of former building foundations on brownfield sites. Geotech Geolog Eng. 2025;43(8). doi:10.1007/s10706-025-03398-3
Application of ground penetrating radar in detecting deeply embedded reinforcing bars in pile foundation. Adv Civil Eng. 2021;1(1):1-13. doi:10.1155/2021/4813415
Automated GPR rebar analysis for robotic bridge deck evaluation. IEEE Trans Cybernet. 2016;46(10):2265-2276. doi:10.1109/TCYB.2015.2474747
Published
How to Cite
Issue
Section
License
Copyright (c) 2026 Alessandro Giocoli, Ilaria Catapano, Giovanni Ludeno, Giuseppe Salvia, Gregory De Martino, Davide Di Gennaro, Valeria Giampaolo, Angela Perrone, Maria Rosaria Gallipoli, Vincenzo Lapenna, Giuseppe Esposito, Gianluca Gennarelli, Francesco Soldovieri, Chiara Ormando, Antonio Di Pietro, Maurizio Pollino, Giacomo Buffarini, Alessandro Lipari, Alessandro Peloso, Alessandro Zini, Paolo Clemente, Luigi Capozzoli (Author)

This work is licensed under a Creative Commons Attribution-NonCommercial-NoDerivatives 4.0 International License.
© Authors under CC Attribution-NonCommercial-NoDerivatives 4.0.
