Spatiotemporal Risk Mitigation for Bridge Assets Using an Integrated Graph-Theory-Based Network and RNN Model Approach
DOI:
https://doi.org/10.70465/ber.v2i3.33Keywords:
Asset Management, Bridge, RNN, Graph Network, AI, Network AnalysisAbstract
Traditional bridge maintenance approaches often lack the capability to capture interactions among structural elements or assess the vulnerability of freight networks to disruptions such as bridge closures. To overcome these limitations, this study introduces a data-driven bridge maintenance framework that integrates artificial intelligence, geographic information systems, and graph-theory-based network modeling. A comprehensive graph-based network representing Georgia’s National Highway Freight Network was developed using geospatial coordinates and roadway intersection data to evaluate structural and topological criticality at the network level. Structural condition forecasting of individual bridges was conducted using advanced recurrent neural network (RNN) models, including long short-term memory and Gated Recurrent Unit architectures. These models predict future deck condition ratings based on historical element data, average daily truck traffic, age, maximum span length, and the number of main-unit spans. The integrated RNN-driven, graph-theory-based framework uncovers key patterns influencing bridge performance and identifies topological weaknesses that may compromise freight mobility. This analysis enables risk-informed prioritization of maintenance, repair, and replacement strategies, supporting a shift from reactive to predictive decision-making and enhancing the resilience of critical transportation infrastructure. Findings highlight the framework’s utility in evaluating the impacts of disruptive events on bridge closures and network accessibility.
Downloads
Introduction
Background
Bridge infrastructure plays a pivotal role in a nation’s transportation system by connecting remote areas, reducing societal disparities, and driving economic progress. However, the aging and deterioration of bridge infrastructure are increasingly leading to safety hazards, compromised ride quality, and higher user costs. In the United States, the situation has reached a critical point, with the average bridge age at 47 years and 6.8% classified as structurally deficient.36 As of 2023, the estimated cost to replace bridges in poor condition is $69.7 billion, while rehabilitation would require $47.4 billion, underscoring the urgency of this issue (FHWA, 2023). Additionally, the increasing frequency of extreme weather events and natural disasters such as floods, hurricanes, snowstorms, and blasts presents new challenges for current bridge asset owners in managing their infrastructure. The rise of automated and heavy trucking further complicates matters, necessitating a re-evaluation of bridge load permits and condition assessments that account for shifts in traffic patterns and advancements in vehicle technologies.
Gaps in current practices and the need for transformative approaches
In the United States, conventional bridge asset management primarily relies on visual inspections and on-site assessments to evaluate bridge conditions. However, these practices fall short in several key areas.1,2 Traditional methods lack the ability to predict future bridge performance and service life based on historical and emerging inspection data. Additionally, they fail to incorporate comprehensive decision-making processes that account for a range of stressors and potential scenarios. For instance, the AASHTOWare Bridge Management System (BMS) does not capture the randomness of deterioration time intervals or rapid declines in condition.3
Furthermore, current asset management tools do not adequately address the interdependencies among bridges, which could lead to cascading failures within the network. They also lack the capacity to evaluate the connectivity and sensitivity of the freight network to disruptions.
The overarching challenge is the need to shift from reactive to proactive bridge asset management strategies. These strategies should focus on maintaining bridge functionality over extended periods without major replacements, while enabling more efficient budgeting for maintenance, repair, and rehabilitation (MRR) activities. Transformative bridge asset management approaches integrate artificial intelligence (AI)-driven service life predictions, stakeholder-engaged decision-making tools, visual analytics, and network-level assessments that quantitatively incorporate safety and resilience into the decision-making process.4
Recent studies have also demonstrated the evolution of AI-driven approaches in bridge maintenance management. A comprehensive review5 highlights trends in defect detection, condition prediction, and the merging use of deep learning and reinforcement learning for performance-based maintenance strategies. While significant progress has been made in damage detection, AI-driven predictive models remain an important area to be explored. Complementing this perspective, network-level deterioration models6 have been developed using Markov chains to explicitly incorporate the effects of maintenance history and treatment effects into condition forecasting at the network scale. Several studies have emphasized the use of various metrics to assess the integrity and robustness of road networks at the network level. These include global efficiency, average distance, percolation limit, average node connectivity, maximum betweenness centrality, and network robustness index.7-10 Schneider et al. proposed a method for evaluating network integrity by analyzing the normalized cumulative sizes of the connected giant components in a graph as its nodes are gradually removed.11 These recent advancements reinforce the importance of incorporating advanced tools to support bridge asset management planning and decision making.
Significance and objectives of the study
As bridges continue to age and transportation demands evolve, traditional isolated bridge evaluation-based approaches are no longer sufficient. This study addresses these growing challenges by leveraging extensive historical bridge condition data and integrating it with modern technologies, including AI, geographic information systems (GISs), and graph-theory-based network modeling. The primary goal is to enable forward-looking insights into structural health and overall network connectivity, supporting proactive and risk-informed decisions for bridge MRR.
To accomplish this, the study develops a recurrent neural network (RNN) model that predicts future bridge deck condition ratings (DCRs), helping identify deterioration before it becomes critical. These predictive results are then combined with a graph-theory-based network model of the highway freight system to assess the structural and topological importance of individual bridges and determine their potential impact on freight connectivity. The analysis uses diverse datasets that include bridge conditions, structural performance, traffic volumes, and highway network characteristics.
The specific objectives of the study are: To develop a RNN forecasting model to predict changes in bridge DCRs over time To use these predictions to build a graph-theory-based network model that evaluates the connectivity and vulnerability of the roadway and bridge system To apply the combined modeling framework to Georgia’s National Highway Freight Network (NHFN) and validate its ability to identify high-risk bridges, supporting the prioritization of maintenance and repair actions that improve network resilience.
Literature Review
Current bridge asset management practices
Bridge asset management plays a vital role in ensuring the safety, longevity, and serviceability of bridges. Federal and state agencies in the United States rely on systematic frameworks to assess and maintain bridges; these include condition evaluation, inspection standards, and life cycle cost analysis.12,13 The National Bridge Inspection Standards (NBIS), established by the Federal Highway Administration (FHWA) in 1971, mandate that publicly owned bridges be inspected at least once every 2 years, with results reported to the National Bridge Inventory (NBI).14 These inspections are carried out using visual methods and, when necessary, nondestructive testing to assess structural components.12 Bridge components—decks, superstructure, and substructure—conditions are rated on a scale of 0–9, with lower scores indicating higher levels of deterioration. The ratings form the foundation of decision-making in BMS, supporting maintenance prioritization, budgeting, and lifecycle planning. These systems incorporate data from inspections, bridge health indices, traffic volumes, and environmental conditions to evaluate performance and optimize maintenance strategies over the bridge service life.15
However, manual inspections are conducted at infrequent intervals, increasing the likelihood that rapid deterioration may go undetected between inspection cycles. In addition, the data collected during inspections is typically stored in isolation, with little connection to real-time monitoring systems that could provide a more complete picture of bridge performance.16 Bridge maintenance remains largely reactive, addressing deterioration after it has occurred rather than anticipating it. This results in higher long-term costs and missed opportunities for early intervention.17 As infrastructure demands grow and budgets tighten, there is increasing recognition that traditional BMS must evolve. Enhancements are needed in data integration, condition forecasting, and risk-informed planning to support more resilient and cost-effective infrastructure systems.
Use of AI and machine learning in predicting bridge condition
Effective bridge asset management is critical for maintaining structural performance, minimizing service disruptions, and guiding cost-efficient maintenance decisions. Traditional approaches that rely on scheduled inspections, historical records, and engineering judgment often struggle to capture the complex progression of deterioration across bridge components and their interactions over time.13,18 These methods also fall short in addressing broader network-level risks posed by freight growth, climate events, and emerging technologies such as connected and automated trucks. To address these limitations, there is increasing interest in predictive tools that provide predictive insights into future condition trends of bridges.
AI and machine learning (ML) are playing an important role in this shift. These technologies can analyze large volumes of inspection data, traffic counts, and environmental variables to detect deterioration and improvement patterns, forecast future conditions, and support decision-making in BMSs.18,19 Among these approaches, supervised learning methods have shown strong potential in modeling deterioration, especially for bridge decks, which are directly exposed to traffic loads and environmental stressors. Studies have applied deep learning models such as artificial neural networks,20 convolutional neural network–long short-term memory (LSTM) hybrids,18 and feedforward networks21 to predict the condition of bridge components using NBI data. Common model inputs include structural attributes; bridge age, deck geometry, material type, and span length, operational metrics like average daily truck traffic (ADTT), and performance indicators such as deck health index (HI).19
Time-series learning models, particularly RNNs and their variants like long short-term memory (LSTM) and Gated Recurrent Units (GRUs), have gained recognition for condition prediction tasks due to their ability to model temporal dependencies in inspection data.19 These models are well-suited for learning gradual deterioration trends and have achieved strong performance when trained on multiyear bridge data. Despite these advances, several challenges remain. Generalizing models across different bridge regions is difficult when training data is limited to a single region. Efforts to address these challenges include the use of class weighting, data resampling techniques, and explainable ML methods such as SHAP values and LIME to understand which features drive predictions.
A recent work19 contributes to this effort by applying LSTM and GRU models with time-distributed output layers to forecast DCRs using multiyear data from Georgia. The models were trained on multiyear sequences of bridge-level features and evaluated using both overall accuracy and class-level performance metrics. Both models achieved strong performance across several evaluation metrics, with particular attention paid to capturing rare condition states. The findings support the value of sequence learning in bridge condition forecasting and demonstrate how such models can inform both project-level maintenance and broader system planning efforts.
Application of topological network modeling approach
Topological network modeling approaches have been widely used to describe the behavior of transportation systems.22-24 This is mainly due to their requirement for significantly less data and reduced computational time compared to physics-based methods. The use of network theory simplifies the assessment of infrastructure criticality through mathematical descriptions of linkages between network components.25 Given the planar nature of transportation networks, such as highways and bridges, graph-theory-based modeling offers an intuitive approach for identifying critical segments.26 In this context, a road network can be reduced to a mathematical matrix, where the vertices (or nodes) represent road intersections, and the edges denote the road sections connecting these nodes. Most graph-theory-based methods employ network centrality measures to identify critical or vulnerable locations in the network.27-29 Global efficiency is another important measure that is used to describe the response of complex networks to external factors.7 Additionally, metrics like node connectivity and betweenness centrality have been utilized to identify vulnerable areas in graph-based transportation networks.6,30,31 Schneider et al. proposed an index to measure the robustness of graph-theory-based networks, which has successfully been applied to two real network systems. Recent advancements in computing and the availability of large data sets have led to the development of a deep learning architecture known as graph neural networks (GNNs), which are designed to leverage graph structures and operate efficiently within topological networks.32,33 Liu and Meidani recently developed a GNN-based surrogate model for the seismic reliability analysis of highway bridge systems.34
Development of RNN-Based Bridge Condition Rating Prediction Model
RNN model architecture
Bridge DCRs range from 0 to 9, where 0 indicates a failed deck and 9 signifies excellent condition. Each value in this range represents a discrete, categorical label. As such, the forecasting task was framed as a multi-class classification problem. Two deep learning models were developed using RNN architectures shown in Fig. 1, LSTM and GRU, to predict DCRs. Both architectures were selected for their strength in modeling sequential data and learning long-term temporal dependencies.16,17 This is particularly important in bridge deck deterioration predictions, where condition changes are gradual and influenced by historical patterns and interventions over time. Each model was trained on bridge-specific sequences, where the input data consisted of 9 years of historical inspection and operational features. The goal was to predict the DCR each year (0–9) as a class label in a state inventory, allowing the models to learn deterioration patterns and detect signs of maintenance or rehabilitation.
Figure 1. RNN model architecture for bridge deck condition prediction. The model outputs predicted deck condition classes for each future time step
Model structure and configuration
Both the LSTM and GRU models were designed as a stacked architecture with four recurrent layers, each with 50 hidden units, as shown in Fig. 1. All layers were configured with the return_sequences parameter set to True, ensuring that the temporal structure was preserved throughout the network without temporal compression. This allowed each layer to pass the full sequence of outputs to the next, rather than collapsing the sequence. To regularize the models and reduce overfitting during training, dropout layers with a rate of 20% were applied after the second and fourth layers. The final layer in both models was a fully connected dense layer with 10 output units and a Softmax activation function, producing class probabilities for each timestep in the sequence. This configuration allowed the model to generate a probability distribution over the 10 deck rating classes for every year in the sequence. The hyperparameter values for both models, including the number of layers, hidden units, dropout rate, batch size, and early stopping, were selected through empirical tuning using validation set performance to guide model design. The hyperparameters were iteratively refined to achieve a balance between model capacity and training stability.
While both models share the same input, output, and training configuration, they differ in their internal structure. The LSTM model uses three separate gates—input, forget, and output gates—to control the flow of information and maintain long-term dependencies. In contrast, the GRU model uses a more streamlined gating mechanism, combining the input and forget gates into a single update gate and employing a reset gate for memory control. Despite architectural differences in internal gating mechanisms, both models are capable of capturing long-range temporal dependencies and are well-suited for learning from sequential infrastructure data.
Activation, loss function, and optimizer
Both models used the tanh activation function within their recurrent layers. This nonlinearity maps input values to a range between −1 and 1, enabling the models to maintain gradient stability and learn expressive internal representations of temporal patterns in bridge condition data. At the output, a fully connected dense layer with Softmax activation—which is standard for multi-class classification tasks to quantify the probability of each class—was used to produce a probability distribution over the 10 DCR classes (0–9) for each time step. The models were trained using the sparse categorical cross-entropy loss function. This loss penalizes confident incorrect predictions more heavily, helping the models learn accurate class boundaries in the output space. To optimize the training process, the Adam optimizer was employed.
Data source and preprocessing
The data used for bridge deck condition prediction in this study was sourced from inspection records maintained by the FHWA NBI and National Bridge Inventory Bridge Elements database, specifically for the state of Georgia, covering the years 2016 through 2024. To support predictive modeling, each bridge’s historical data was transformed into sequential records spanning nine consecutive years. Only bridges with complete data across this period were retained. Feature selection was guided by previous literature,17 engineering judgment, and iterative refinement. The selected features included the previous year’s DCR; deck HI, calculated using nonlinear coefficients applied to the percentage of deck area in each condition state; ADTT; bridge age; maximum span length; and number of spans in the main unit. Fig. 2 presents the distributions of selected input features used in the RNN model, providing additional context regarding their variability across the dataset. These selected features capture key structural and operational characteristics known to influence deck deterioration. In future work, incorporating additional attributes such as bridge typology (e.g., superstructure type, material) may further enhance predictive accuracy. All features except the target variable (DCR) were normalized using min–max scaling to ensure uniform magnitudes across variables. The processed sequences were reshaped into a three-dimensional format (bridge IDs, time steps, features), preserving temporal order. For example, an input shape of (5811, 9, 6) indicates 5811 bridge sequences, each with 9 years of data and 6 features per time step. A supervised learning structure was adopted, where each year’s DCR was predicted based on the inputs from lagged features from the year (t − 1), ensuring temporal consistency. This processed dataset served as input for both LSTM and GRU models.
Figure 2. Distributions of selected input features used in the RNN models for bridge deck condition prediction
Class imbalance and weighting strategy
Bridge DCRs in Georgia inspection data are heavily imbalanced, with the majority of records concentrated in the fair-to-very good rating range (Classes 5–8), while extremely low or high ratings are rare (Classes 0, 1, 2, 3, 4, and 9). This imbalance was evident across the dataset, as shown in Fig. 3, and posed a significant risk of causing the models to be biased toward the majority classes.
Figure 3. Georgia deck condition rating class distribution
Although there are various ways to address this, a class weighting strategy is implemented in this study to rebalance the learning signal during training. Class weights were initially calculated based on the inverse of class frequencies, assigning higher weights to underrepresented classes. However, this produced a wide range of raw values, with some extreme weights that could destabilize gradient updates and lead to poor convergence.
To improve robustness, the raw weights were smoothed using a logarithmic transformation and clipped to a defined range. Specifically, each weight was adjusted using log(weight + 1) to suppress outliers, then clipped between a minimum of 1.0 and a maximum of 7.0. This ensured that minority classes received higher but controlled emphasis, while dominant classes retained lower weights. Class weights were calculated based on the class distribution within the training set, as shown in Table 1. The use of logarithmic smoothing and clipping intentionally compressed large raw imbalance ratios to maintain gradient stability during training. In particular, for high-frequency classes (5–8), applying small differences in weights was not expected to materially improve learning, given the large volume of training samples available. Clipping their weights to 1.0 ensured stable convergence and avoided overemphasizing minor differences between already well-represented classes. The logarithmic transformation approach was intentionally designed to improve learning for underrepresented classes while preserving training robustness. The final adjusted class weights applied during training are shown in Table 1.
| Class | Description | Training set count | Weight |
|---|---|---|---|
| 0 | Failed condition | 9 | 6.37 |
| 1 | Imminent failure condition | 17 | 5.73 |
| 2 | Critical condition | 13 | 6.00 |
| 3 | Serious condition | 25 | 5.35 |
| 4 | Poor condition | 283 | 2.97 |
| 5 | Fair condition | 3267 | 1.00 |
| 6 | Satisfactory condition | 10,985 | 1.00 |
| 7 | Good condition | 34,393 | 1.00 |
| 8 | Very good condition | 3315 | 1.00 |
| 9 | Excellent condition | 1 | 7.00 |
Model training and validation
The dataset was divided into training (70%), validation (15%), and test (15%) sets using a bridge-level split to avoid data leakage across time. Unique bridge identifiers were first extracted and then randomly assigned to one of the three subsets, ensuring that all 9 years of data for each bridge remained within a single partition. This approach preserved the temporal continuity and structural context of each bridge throughout model development and evaluation. Model training was conducted using the full sequence data without shuffling, preserving the order of temporal features for each bridge.
LSTM model
The LSTM model was trained over 105 epochs using a batch size of 32. Early stopping was employed to monitor validation loss and halt training once convergence was observed. Class weights were applied as sample weights to guide the model toward learning underrepresented deck condition classes more effectively. The training history for the LSTM model, shown in Fig. 4, displays the training and validation loss curves and also presents the corresponding accuracy trends. The model showed steady improvement in both loss and accuracy over the first 40–50 epochs, after which it began to converge. The training loss decreased from 1.25 to approximately 0.39, while the validation loss followed a similar trend, stabilizing between 0.38 and 0.41. Simultaneously, training accuracy improved from 65.4% to around 87.4%, with validation accuracy peaking at approximately 87.2% before leveling off. This behavior indicates that the model generalized well to validation data, with no signs of significant overfitting. The validation accuracy remained consistently aligned with the training accuracy, and fluctuations toward the later epochs remained within acceptable margins. To improve visual interpretation, the curves were smoothed using exponential moving averaging with a decay factor of 0.9.
Figure 4. (a) Smoothed training and validation loss over epochs for the LSTM model. (b) Smoothed training and validation accuracy over epochs
GRU model
The GRU model was trained using the same configuration as the LSTM, including class weights, batch size, and early stopping. The training was performed over 105 epochs with a batch size of 32 and without shuffling to preserve the temporal structure. Early stopping monitored the training loss with a patience of 20 epochs. Fig. 5 illustrates the training history of the GRU model, and it shows the loss progression for both training and validation sets, as well as the corresponding accuracy trends. Like the LSTM, the GRU model exhibited rapid performance gains in the early epochs, with convergence occurring around epoch 40. The training loss reduced from an initial value of 1.19 to approximately 0.38, while the validation loss declined to a similar range, stabilizing between 0.38 and 0.40. Training accuracy improved from 64.9% to 87.6%, and validation accuracy reached a peak of 87.5%, maintaining close alignment throughout the later stages of training. These results indicate that the GRU model achieved a well-balanced fit without overfitting and performed comparably to the LSTM model.
Figure 5. (a) Smoothed training and validation loss over epochs for the GRU model. (b) Smoothed training and validation accuracy over epochs
For both LSTM and GRU models, the observed pattern of slightly higher training loss relative to validation loss is primarily due to the use of dropout regularization during training, which is disabled during validation, resulting in lower validation loss values.
Model evaluation
To assess model performance on the test dataset, multiple evaluation metrics were employed, capturing both overall classification performance and class-specific behavior. Given the imbalanced multi-class nature of the bridge deck condition prediction problem, a combination of five different metrics was used to provide a comprehensive overview of model performance—not just overall accuracy, but also how balanced the predictions were across all classes. The evaluation metrics include accuracy, precision, recall, F1 score, and the confusion matrix. Accuracy measures the overall proportion of correct predictions. Precision and recall assess the rate of false positives and false negatives, respectively, while the F1 score balances both. Confusion matrices visualize prediction distribution and highlight misclassification patterns.
Model Performance
The final performance of both LSTM and GRU models, evaluated on an unseen test dataset comprising 15% of the initial data, is detailed in Table 2. Test accuracy and loss were computed along with detailed classification metrics and confusion matrices to assess performance.
| Metrics | LSTM | GRU |
|---|---|---|
| Accuracy | 86.84% | 86.79% |
| Loss | 0.38 | 0.39 |
| Macro-precision | 0.55 | 0.44 |
| Macro-recall | 0.51 | 0.40 |
| Macro F1-score | 0.53 | 0.40 |
| Weighted precision | 0.87 | 0.87 |
| Weighted recall | 0.87 | 0.87 |
| Weighted F1 score | 0.87 | 0.87 |
Predictive performance using key metrics
The LSTM model achieved an accuracy of 86.84% with a categorical cross-entropy loss of 0.38, while the GRU model reported a comparable accuracy of 86.79% and a slightly higher loss of 0.39. While both models performed similarly in terms of overall accuracy and weighted metrics, the LSTM model demonstrated stronger performance across underrepresented classes, as reflected in its higher macro-averaged precision, recall, and F1 score.
These macro-level scores are more sensitive to minority class behavior and thus suggest that the LSTM model provides more reliable performance on rare deck condition classes, a trend that is further examined in the class-specific performance below. In contrast, the weighted metrics, dominated by frequent classes such as 6, 7, and 8, were nearly identical for both models, confirming their comparable effectiveness on the most common bridge conditions.
Class-specific performance
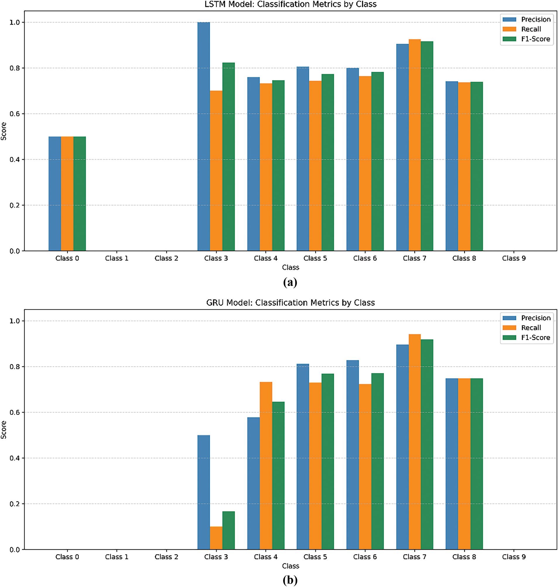
Fig. 6 illustrates precision, recall, and F1 scores across all deck condition classes. For the LSTM model in Fig. 6a, strong class-level performance was observed in the majority of classes (Classes 5–8), with F1 scores above 0.74. The GRU model in Fig. 6b also performed well in these dominant classes but exhibited reduced recall in some classes, especially Classes 3 and 4. The LSTM model showed a slight edge in handling rare categories, reflected in more stable F1 scores. This class-level pattern aligns with the LSTM model’s higher macro-averaged scores in Table 2, confirming its improved handling of minority classes.
Figure 6. (a) LSTM model precision, recall, and F1 score by class. (b) GRU model precision, recall, and F1 score by class
The confusion matrices in Fig. 7 provide additional insight into how each model distributed predictions across classes. For both models, most misclassifications occurred between adjacent deck condition classes, such as Classes 6 and 7, or 7 and 8. The LSTM model demonstrated fewer off-diagonal errors and better separation across Classes 5–8, particularly in minimizing misclassifications between Classes 6 and 7. It should be noted that the test set did not contain any examples for Classes 1, 2, or 9, and included only two instances of Class 0, one of which was correctly predicted by the LSTM model. The limited performance on the rarest classes therefore reflects the extreme underrepresentation in the Georgia dataset.
Figure 7. (a) LSTM model confusion matrix. (b) GRU model confusion matrix
Case study: performance prediction for selected bridges in Georgia
To better illustrate the models’ time-series predictions, Fig. 8 presents the predicted versus actual DCRs for a sample bridge. The models were evaluated on their ability to accurately predict the full sequence from 2017 through 2024, using the initial 2016 data point as the starting input. Both the LSTM and GRU models successfully captured the overall condition stability observed in the sequence, accurately predicting Class 6 across most years. This aligns with the overall performance observed in the evaluation metrics presented above, where both models demonstrated strong accuracy and well-balanced precision-recall characteristics. The GRU model showed a bit more movement in its predictions, temporarily shifting up to Class 7 in the middle years before settling back down, while the LSTM maintained a more uniform trajectory. These differences reflect the internal dynamics of each architecture, GRU’s compact gating mechanism tends to respond more directly to input variations, while LSTM’s layered gating structure emphasizes maintaining the longer-term trend. Overall, both models demonstrated effective time-series predictions and produced outputs that closely align with the actual behavior of the bridge DCRs over time.
Figure 8. Actual versus predicted deck condition ratings for a sample bridge
Predicting bridge deck deterioration: bridge-level insights and a comparison with Iowa’s data
To evaluate the long-term use of the trained model, predictions were extended beyond the historical test range to forecast bridge DCRs from 2025 through 2032. The LSTM model, which showed marginally better generalization across classes during model evaluation, was selected for these future forecasts. Fig. 9a presents the model’s predictions for another selected bridge in Georgia. The bridge maintained a steady rating of 7 from 2020 to 2024, with minimal variation. The model projects a temporary decline to rating 6 in 2025 and 2026, followed by a return to rating 7, which remains stable through 2032. By learning from several years of uniform historical data, the model anticipates a minor deterioration event—possibly routine deterioration—and then reverts to the longer-term trend it has observed.
Figure 9. Bridge deck condition predictions for selected bridges in (a) Georgia and (b) Iowa, noting that the black line represents actual deck condition ratings through 2024, while the red line shows the model’s forecast of future deck condition ratings from 2025 onward
However, because many Georgia bridges exhibited stable or improving deck condition trends, the RNN model’s ability to learn from and predict progressive deterioration could not be adequately tested using Georgia data alone. To fairly evaluate the model’s ability to predict declining condition scenarios, bridge data from Iowa were incorporated. Iowa was selected because its DCRs exhibit more consistent downward trends over time, providing a balanced assessment of the RNN model’s predictive performance under deterioration-dominant conditions.
The Iowa bridge illustrated in Fig. 9b exhibits a different performance trajectory. The historical data show a flat trajectory at Class 8 (or condition rating 8) for several years, but the condition drops to Class 7 in 2024. The model predicts the class will remain at 7 in 2025, show a brief recovery in 2026, and subsequently oscillate between Classes 6 and 8 before gradually declining to Class 6 by 2032. This behavior reflects how the model, trained on Iowa-specific data, interprets the 2024 downward shift as an early indicator of long-term deterioration. Since the Iowa dataset includes a more balanced distribution of condition ratings, especially in the mid-range (Classes 4–6), the model has seen more diverse deterioration paths compared to the Georgia case. As a result, the model is better equipped to anticipate gradual deterioration, even in its early stages. Instead of defaulting to stability, it projects a slow but consistent decline, consistent with patterns learned from similar bridges in Iowa’s inventory. This underscores the importance of region-specific training data in capturing localized deterioration trends and enhancing predictive sensitivity.
At the network level, Fig. 10a and 10b present future deck condition forecasts for a subset of bridges in the Georgia and Iowa inventories, respectively. The Georgia predictions illustrated in Fig. 9 present an outlook with minimal change, as most bridges maintain condition ratings between Classes 6 and 8 through 2032. This reflects the distribution of the training data, which was heavily concentrated in the mid-to-high condition range. The model appears to extend this historical trend, with few bridges showing significant deterioration or improvement.
Figure 10. Network-level deck condition ratings and predictions for 30 selected bridges in (a) Georgia and (b) Iowa
In contrast, the Iowa projection shown in Fig. 9b reveals a broader range of predicted outcomes. A higher number of bridges are forecasted to fall below Class 6 over the 8-year period, with some exhibiting nonlinear transitions—dropping to lower classes before leveling off or slightly improving. These shifts reflect the more balanced class distribution in Iowa’s dataset, which contains a higher proportion of bridges in Classes 4–6 compared to Georgia. Since the Iowa model was trained using localized features and data, the observed variability aligns with realistic deterioration dynamics. The potential for improvement suggests that the model has learned associations between specific input features and rehabilitation events.
These results highlight the influence of training data characteristics on model behavior. A dataset with limited condition rating variation, such as Georgia’s, tends to produce forecasts with minimal change, reinforcing the dominant patterns. In contrast, a more diverse dataset, such as Iowa’s, allows the model to capture a broader range of deterioration trajectories, including both steady declines and potential improvements resulting from maintenance or intervention. This underscores the importance of aligning model design with the operational context and the specific experiences of each state. If a model is to be deployed across multiple states or regions, targeted retraining will be necessary to maintain accuracy. The deterioration patterns of bridge decks are highly influenced by localized factors such as climatic conditions, traffic volume, maintenance practices, funding levels, and policies. As such, the RNN models developed in this study are sensitive to regional variations. Therefore, deploying this predictive approach in different states or regions will require retraining using local features to ensure that the models accurately capture region-specific deterioration trends. Tailoring the models in this way is essential for generating reliable forecasts and supporting effective, data-driven decision-making at the state or local level.
From a planning and budget allocation perspective, the ability to simulate future condition trajectories at both the bridge and network levels facilitates data-driven maintenance prioritization, resource allocation, and long-term capital investment strategies.
Development of Graph-Theory-Based Network Model of Bridges within NHFN
As the highway system is inherently structured as planar networks, they naturally adapt to representations using primal graphs. Graph theory simplifies a highway network into a mathematical matrix, G = (V, E), where “V” and “E” represent the sets of nodes and edges between these nodes, respectively. In the context of a highway network system, a node corresponds to a highway intersection, and an edge represents a highway segment between two intersections. Each link can be denoted by (〖u,v〗) ∈ E, where “u” and “v” are the indices of its two end nodes.
A graph-theory-based network model has been generated for the highway-bridge system within Georgia's NHFN. Due to space limitations, the data from Iowa are not presented in this paper. Georgia’s network spans 1753 miles and is recognized as comprising the most critical highway segments that connect Georgia’s major cities—Atlanta, Savannah, Augusta, Macon, and Columbus—thereby supporting the state’s logistics-driven businesses37,38. Bridges on the NHFN experience heavy traffic loads, especially from large trucks and commercial vehicles, leading to the risk of closures due to maintenance and repair activities. As shown in Fig. 11a, the NHFN consists of three components: the Primary Highway Freight System, Critical Rural Freight Corridors, and Critical Urban Freight Corridors. GIS shapefiles of the NHFN have been obtained from the FHWA portal. Additionally, to obtain the spatial distribution of bridges in Georgia, a bridge geodatabase was collected from the Georgia Department of Transportation’s Bridge Information Management System website. Out of the 15,505 bridges in Georgia, 684 bridges are identified within the NHFN, as shown in Fig. 11b.
Figure 11. National highway freight network (NHFN) of Georgia: (a) Roadways and (b) 684 Bridges in NHFN
The DCR is used to categorize and prioritize NHFN bridges, as it captures the in-situ deterioration of bridge decks and identifies those requiring immediate attention. DCR is selected as a key performance indicator in this study due to the higher susceptibility of bridge decks to deterioration compared to other structural components.35 A maintenance threshold of DCR 6 is assumed in this analysis to demonstrate the application of the graph-theory-based network analysis. However, it is important to note that due to the generally high DCRs across Georgia, lower thresholds such as DCR 4 or 5 could not be meaningfully applied. In 2024, 68 NHFN bridges in Georgia are identified with a DCR of 6 or below (Fig. 12a). Projections from the RNN model estimate that this number will decrease to 23 by 2032, reflecting anticipated improvements resulting from ongoing maintenance and repair activities (Fig. 12b). These low-rated bridges are subsequently used to evaluate the potential impacts of closures on the freight network, employing a graph-theory-based modeling approach described in the following section.
Figure 12. (a) Sixty-eight bridges with a low deck condition rating (≤6) in 2024. (b) Twenty-three bridges with a low deck condition rating (≤6) in 2032
Characterization of freight network connectivity measure
To convert the NHFN GeoDataFrame into a network graph, the Python library “NetworkX” is employed. Fig. 13a illustrates the structure of the network by displaying the distribution of node degrees, where a node’s degree refers to the number of edges connected to it. The nodes are color-coded, with blue, green, orange, and red representing nodes with degrees of 1, 2, 3, and 4, respectively. As depicted in Fig. 13b, the complete freight network includes 37 nodes with a degree of 1, 39 nodes with a degree of 2, 63 nodes with a degree of 3, and only 2 nodes with a degree of 4. Bridges within the NHFN are incorporated into this graph-theory-based network based on their geospatial coordinates. In this analysis, it is assumed that bridges are the only component that can fail, leading to the removal of an edge ( 〖u,v〗 ) from the graph due to bridge closures.
Figure 13. (a) Structure of the graph-theory-based network for the NHFN in Georgia with a distribution of node degrees. (b) Number of nodes by specific degree
The graph-theory-based network developed in this study facilitates various analyses of topological integrity concerning the bridges in the NHFN of Georgia. In this study, the connectivity of the road network is assessed using the ratio of the size of the giant connected component (GCC) in the network after highly vulnerable nodes are removed and the original size of the network. This measure is chosen because it enables a comparison of connectivity under both disruptive and normal scenarios. Mathematically, the connectivity can be defined as presented in Eq. (1), where is the connectivity level in the road network; is the size of the connected giant component after certain nodes are removed; and is the original number of nodes in the uninterrupted network
As illustrated in Fig. 14, if the original intact network is comprised of 32 nodes and 33 functional edges, but five edges become nonfunctional due to a disruption, the network will break into five sub-networks. In this scenario, the largest sub-component will contain 18 nodes. Therefore, the relative size of the GCC under this given disruption can be calculated as 18/32 = 0.5625.
Figure 14. Giant connected component (GCC) of a network
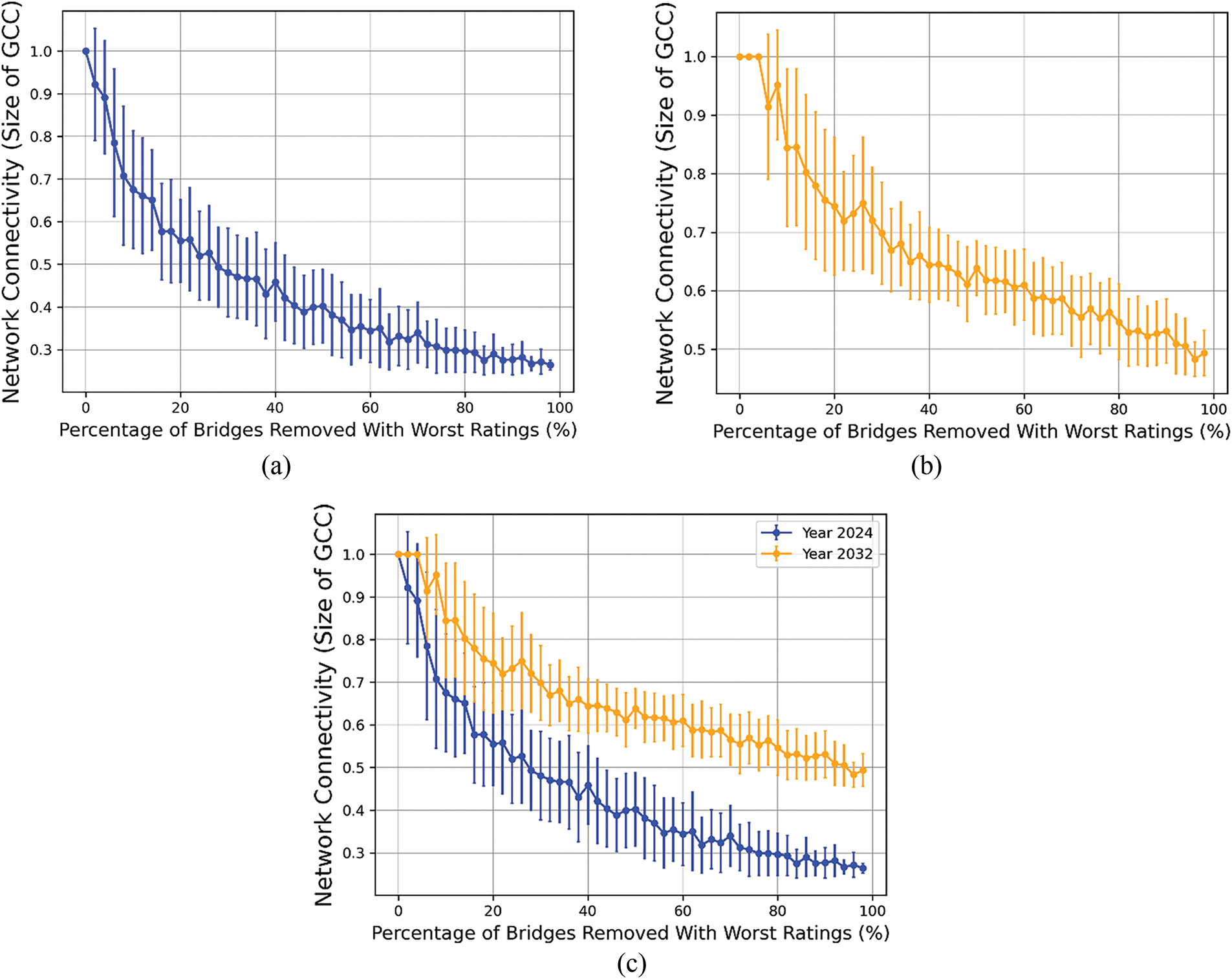
This study assesses the connectivity of the NHFN under different levels of random bridge closures, targeting bridges with low DCRs (<6). The connectivity profiles of the NHFN for the years 2024 and 2032 are depicted in Fig. 15a and 15b, respectively. These figures demonstrate the impact of removing bridges with low DCRs on the connectivity of the network by randomly eliminating a percentage of bridges and recalculating connectivity with each removal. This process simulates the potential effects on the freight network due to bridge closures for repair or maintenance. To reduce the possible impact of random sampling, 50 simulations are conducted at each step, with bridge removals occurring in 2% increments. The average ratio of the size of the giant components to the size of the original intact network is then calculated for each step. As shown in Fig. 15c, the highway network in 2032 exhibits improved connectivity, indicating greater resilience to bridge closures involving low DCRs compared to the 2024 network. For instance, when 40% of low-rated bridges are closed, the connectivity of the 2032 freight network is reduced to 65% of its original size, whereas in 2024, connectivity drops to approximately 46%.
Figure 15. (a) Connectivity of the road network in (a) 2024; (b) 2032 (after removing edges, including bridges, with a deck condition rating of 6 or less); and (c) comparison of network connectivity between 2024 and 2032
Identification of bridges that pose a high risk to the overall freight network
Following the analysis performed in the previous sections, highly critical bridges have been identified based on two independent factors: low DCR and high network connectivity. Six bridges have been found to maintain a low DCR (6) from 2024 to 2032. At the same time, their removal would lead to a significant reduction in network connectivity. Table 3 lists the network connectivity measures after the removal of each bridge separately, along with the current (Year 2024) and predicted future (Year 2032) DCRs. Fig. 16 illustrates the geographical locations of the critical bridges, highlighted in brown, within the NHFN. The findings suggest that, when allocating limited budget resources for bridge repairs, it is advantageous to prioritize based on the predicted future deck condition and the specific bridge’s overall impact on freight network connectivity.
| Bridge ID | Network connectivity after closing | Deck condition rating | |
|---|---|---|---|
| Year 2024 | Year 2032 | ||
| 1 | 0.6705 | 6 | 6 |
| 2 | 0.7216 | 6 | 6 |
| 3 | 0.7216 | 6 | 6 |
| 4 | 0.7216 | 6 | 6 |
| 5 | 0.7216 | 6 | 6 |
| 6 | 0.75 | 6 | 6 |
Figure 16. Bridges with low deck condition ratings that play a major role in network connectivity
Improved robustness of the freight network after prioritizing bridge repair actions
To evaluate the robustness of the freight network after implementing prioritized bridge repairs, this study conducted a simulation that reflects the state of the network in 2032. The analysis focused on the 17 remaining bridges within the NHFN that are predicted to have low DCRs (DCR ≤6), after targeted repairs were applied to six critical bridges identified in the previous section. The geographic distribution of these 17 bridges is shown in Fig. 17a.
Figure 17. (a) Bridges with low deck condition ratings as well as low network connectivity. (b) Comparison of network connectivity before and after prioritizing bridge repair activities
Fig. 17b compares the resulting connectivity profiles under three scenarios: (1) the NHFN in 2024 without any repair prioritization (68 bridges with low DCR), (2) the NHFN in 2032 without repair prioritization (23 bridges with low DCR), and (3) the NHFN in 2032 after prioritized repairs (17 bridges with low DCR). The results indicate that the 2032 network, after repairing the six most critical bridges, exhibits significantly improved connectivity, demonstrating enhanced resilience to bridge closures. These results highlight the value of integrating predictive condition assessments with network-based criticality analysis to prioritize maintenance actions. Such an approach supports strategic, cost-effective allocation of limited budget resources to strengthen overall network robustness.
Summary of findings from the Georgia analysis
The RNN model developed in this study successfully predicts bridge DCRs from 2025 to 2032, enabling the identification of bridges that require maintenance planning to prevent further deterioration. In Georgia, unlike in Iowa, the predicted results suggest an improving trend in bridge deck conditions over the coming years. Simulation results from the graph-theory-based network model, which incorporates time-series predictions for Georgia bridges generated by the RNN model, indicate that the NHFN in 2032 will exhibit higher connectivity, demonstrating increased resilience to closures of bridges with low DCRs compared to the network in 2024. The RNN-driven graph-theory-based network model identifies critical bridges whose closure would significantly impact network performance, enabling targeted, mission-critical, and cost-effective maintenance prioritization. Finally, prioritized repairs of six critical bridges, based on condition predictions and connectivity impact, significantly improved the robustness of the NHFN by 2032.
Conclusions
With increasing disruptions to bridge infrastructure systems, growing demands for MRR, and ongoing budget constraints, transportation agencies must adopt a predictive and scalable bridge maintenance decision-making framework. This study introduced a novel AI-driven, graph-theory-based modeling approach that evaluates both the time-predictive structural condition of decks and their spatial topological criticality within the highway network. Based on the findings of the proposed RNN-based graph network model, the following conclusions are drawn: The RNN-based time-series prediction models—specifically LSTM and GRU—effectively predicted bridge DCRs up to 8 years ahead using sequential bridge inspection and operational data. The LSTM model outperformed GRU in handling underrepresented condition classes, achieving a test accuracy of 86.84% and providing better generalization for rare deterioration scenarios. The graph-theory-based network model, incorporating RNN-based condition predictions, effectively identified six critical bridges within Georgia’s NHFN that pose a high risk to freight network connectivity. These bridges are predicted to maintain low DCRs (DCR = 6) through 2032 and, if closed, will decrease network connectivity by up to 33%. We simulated the impact of prioritizing repairs for six critical bridges and found a substantial increase in network robustness, with the 2032 network maintaining over 70% connectivity even when up to 40% of the remaining low-rated bridges were closed, compared to just 46% without any repair prioritization.
Discussion and Future Work
The findings of this study provide valuable insights for guiding asset management decisions, particularly in the context of allocating limited budget resources for bridge maintenance. Additionally, the integrated approach developed here can be applied to identify high-risk bridges within road networks, especially under various disruptions, such as flooding or the introduction of automated vehicles. Exploring these applications further represents a promising direction for future work.
To simulate bridge closure scenarios more precisely, a further study will be conducted modeling bridges as edges within the graph-theory-based network, each connecting two adjacent highway sections. Directed links will be incorporated to better represent real-world traffic flows, and network integrity will be assessed using weighted links based on bridge length and traffic volume.
References
Cost-effective bridge safety inspections using unmanned aircraft systems (UAS). Published online 2016:1930-1940. doi:10.1061/9780784479742.165
Visual inspection of highway bridges. J Nondestruct Eval. 2002;21(3):67-83. doi:10.1023/A:1022508121821
Stochastic analysis of network-level bridge maintenance needs using latin hypercube sampling. ASCE-ASME J Risk Uncertainty Eng Syst, Part A: Civ Eng. 2021;7.
A. Innovative Bridge Technologies/Accelerated Bridge Construction University Transportation Center (IBT/ABC-UTC) Center Data Management Plan. Published online 2024.
AI-based bridge maintenance management: a comprehensive review. Artif Intell Rev. 2025;58(5). doi:10.1007/s10462-025-11144-7
Network-level bridge deterioration prediction models that consider the effect of maintenance and rehabilitation. J Infrastruct Syst. 2022;28.
Characterization of Resilience of Networks to Uncertain Disruptions: A Case Study of Houston Road Network during Hurricane Harvey. Published online 2020:35-47. doi:10.1061/9780784483169.004
A multi-scale analysis of 27,000 urban street networks: Every US city, town, urbanized area, and Zillow neighborhood. Environ Plann B: Urban Analy City Sci. 2020;47(4):590-608. doi:10.1177/2399808318784595
Efficiency of scale-free networks: error and attack tolerance. Phys A: Statist Mech Applicat. 2003;320:622-642.
A network-of-networks percolation analysis of cascading failures in spatially co-located road-sewer infrastructure networks. Phys A: Statist Mech Applicat. 2020;538(116). doi:10.1016/j.physa.2019.122971
Mitigation of malicious attacks on networks. Proc Natl Acad Sci U.S.A. 2011;108:3838-3841.
A state-of-the-art review of bridge inspection planning: current situation and future needs. J Bridge Eng. 2022;27.
Machine learning-based bridge maintenance optimization model for maximizing performance within available annual budgets. J Bridge Eng. 2024;29(4). doi:10.1061/jbenf2.beeng-6436
Comparison of markovian-based bridge deterioration model approaches. J Bridge Eng. 2023;28.
Determination of bridge health index using analytical hierarchy process. Construct Manag Econom. 2012;30:133-149.
Bridge monitoring and management system using GIS. IOP Conf Ser: Mater Sci Eng. 2019;527.
Optimal allocation of resources to maintain, rehabilitate, and reconstruct heterogeneous bridge networks. Transport Res Rec: J Transport Res Board. 2012;2292:134-140.
A novel decision support system for long-term management of bridge networks. Appl Sci. 2021;11.
Recurrent neural network for quantitative time series predictions of bridge condition ratings. Infrastructures. 2024;9.
Artificial neural network model of bridge deterioration. J Perform Constr Facil. 2010;24(6):597-602. doi:10.1061/(asce)cf.1943-5509.0000124
Bridge condition rating data modeling using deep learning algorithm. Struct Infrastruct Eng. 2020;16:1447-1460.
Characterization of vulnerability of road networks to random and nonrandom disruptions using network percolation approach. J Comput Civ Eng. 2021;35(1). doi:10.1061/(asce)cp.1943-5487.0000938
Performance metrics and analysis of transit network resilience in Toronto. Trans Res Record. Published online 2016:16-2441.
Vulnerability and resilience of transport systems–A discussion of recent research. Transport Res Part A: Pol Pract. 2015;81:16-34.
Topological performance measures as surrogates for physical flow models for risk and vulnerability analysis for electric power systems. Risk Analysis. 2015;35(4):608-623. doi:10.1111/risa.12281
Comparative evaluation of resilience quantification methods for infrastructure systems. Proc-Soc Behav Sci. 2013;74:339-348.
Graph-theoretical analysis of the swiss road and railway networks over time. Netw Spat Econ. 2009;9:379-400.
Resilience of ground transportation networks: a case study on Melbourne. Proceedings of the International Conference on Title of Conference.
The network analysis of urban streets: a dual approach. Phys A: Statist Mech Applicat. 2006;369:853-866.
Graph-based ahead monitoring of vulnerabilities in large dynamic transportation networks. PLoS One. 2021;16.
Road network resilience: how to identify critical links subject to day-to-day disruptions. Transport Res Rec: J Transport Res Board. 2018;2672(1):54-65. doi:10.1177/0361198118792115
Edge-based graph neural network for ranking critical road segments in a network. PLoS One. 2023;18.
Graph Neural Networks for building and civil infrastructure operation and maintenance enhancement. Adv Eng Inform. 2024;62.
Graph neural network surrogate for seismic reliability analysis of highway bridge systems. J Infrastruct Syst. 2024;30.
Bridge infrastructure asset management system: comparative computational machine learning approach for evaluating and predicting deck deterioration conditions. J Infrastruct Syst. 2020;26(3). doi:10.1061/(asce)is.1943-555x.0000572
Report Card for America’s Infrastructure. A Comprehensive Assessment of America’s Infrastructure. Published online 2025.
Georgia’s freight infrastructure: a business-focused planning analysis. Published online 2024.
Georgia’s freight plan: georgia’s freight transportation infrastructure. Published online 2024.
Published
How to Cite
Issue
Section
License
Copyright (c) 2025 Sajib Saha, Adeyemi D. Sowemimo, Mi G. Chorzepa, Bjorn Birgisson

This work is licensed under a Creative Commons Attribution-NonCommercial-NoDerivatives 4.0 International License.
© Authors under CC Attribution-NonCommercial-NoDerivatives 4.0.
